Официальное опубликование правовых актов
ОФИЦИАЛЬНОЕ ОПУБЛИКОВАНИЕ
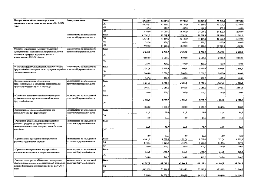
Постановление Правительства Иркутской области от 29.08.2019 № 687-пп
"О внесении изменений в государственную программу Иркутской области "Молодежная политика" на 2019 - 2024 годы"
Номер опубликования: 3800201909030013
Дата опубликования: 03.09.2019
Страница №28 из 40:
Увеличить