Официальное опубликование правовых актов
ОФИЦИАЛЬНОЕ ОПУБЛИКОВАНИЕ
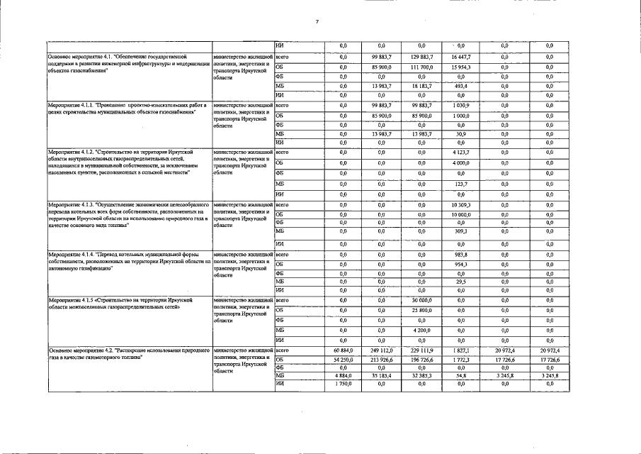
Постановление Правительства Иркутской области от 02.09.2019 № 715-пп
"О внесении изменений в отдельные постановления Правительства Иркутской области"
Номер опубликования: 3800201909040002
Дата опубликования: 04.09.2019
Страница №35 из 61:
Увеличить