Официальное опубликование правовых актов
ОФИЦИАЛЬНОЕ ОПУБЛИКОВАНИЕ
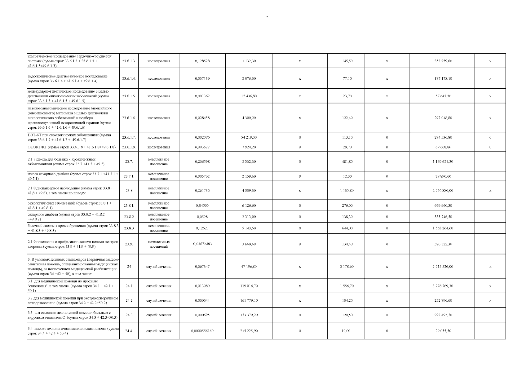
Постановление Правительства Иркутской области от 20.11.2025 № 914-пп
"О внесении изменений в Территориальную программу государственных гарантий бесплатного оказания гражданам медицинской помощи в Иркутской области на 2025 год и на плановый период 2026 и 2027 годов"
Номер опубликования: 3800202511240004
Дата опубликования: 24.11.2025
Страница №53 из 60:
Увеличить