Официальное опубликование правовых актов
ОФИЦИАЛЬНОЕ ОПУБЛИКОВАНИЕ
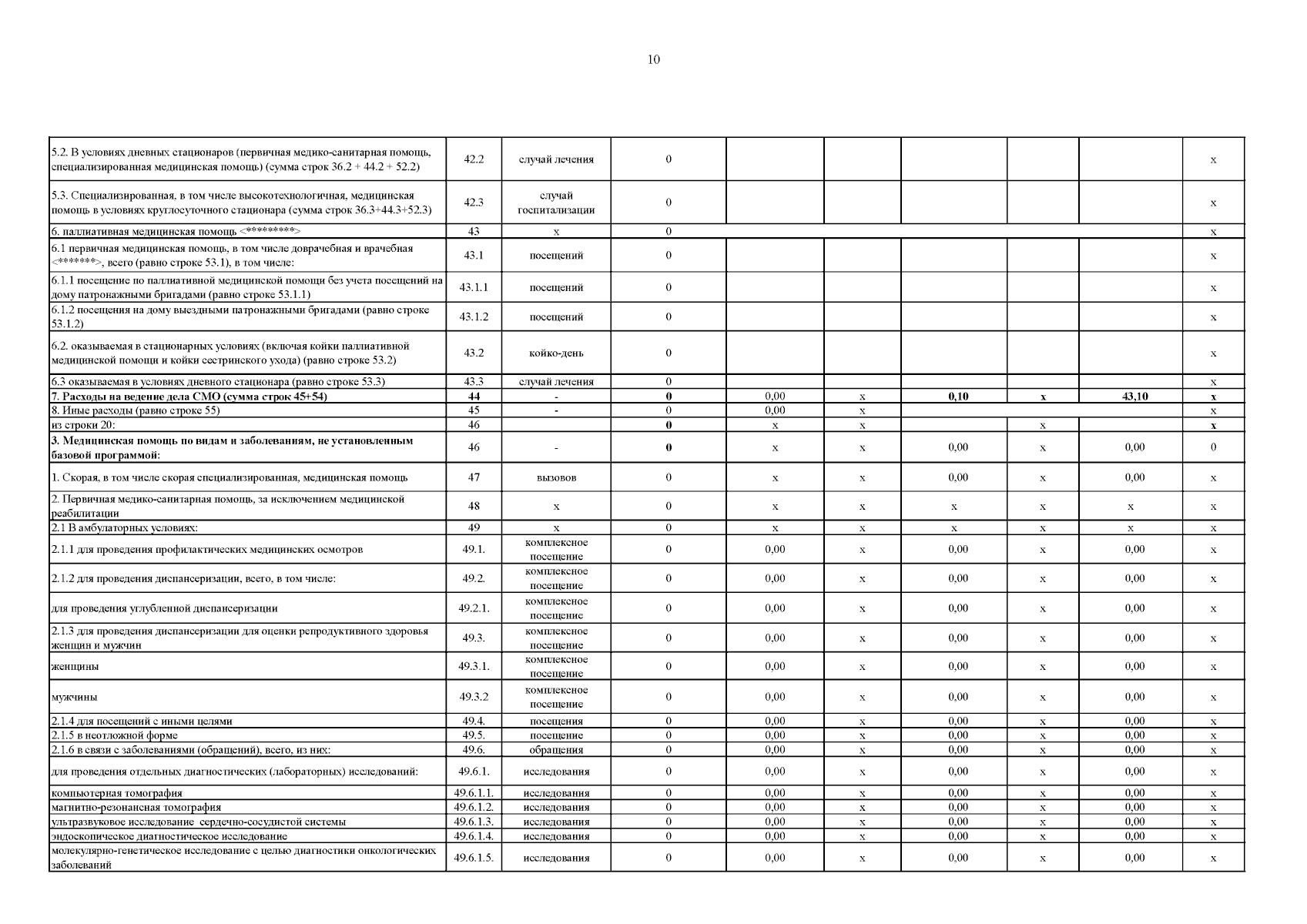
Постановление Правительства Иркутской области от 30.12.2025 № 1114-пп
"О Территориальной программе государственных гарантий бесплатного оказания гражданам медицинской помощи в Иркутской области на 2026 год и на плановый период 2027 и 2028 годов"
Номер опубликования: 3800202601050011
Дата опубликования: 05.01.2026
Страница №143 из 199:
Увеличить