Официальное опубликование правовых актов
ОФИЦИАЛЬНОЕ ОПУБЛИКОВАНИЕ
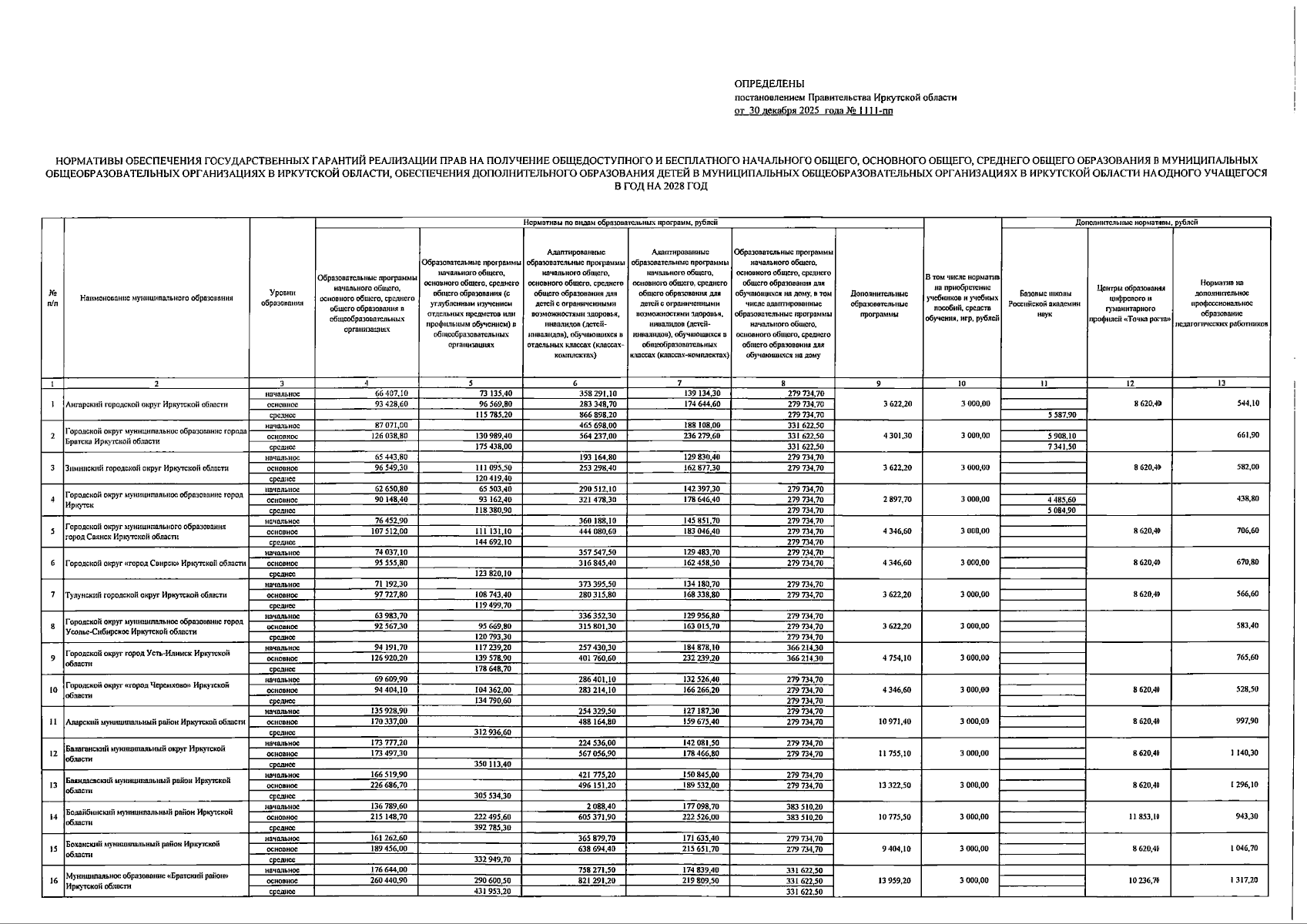
Постановление Правительства Иркутской области от 30.12.2025 № 1111-пп
"О нормативах обеспечения государственных гарантий реализации прав на получение общедоступного и бесплатного дошкольного образования в муниципальных дошкольных образовательных и общеобразовательных организациях в Иркутской области, общедоступного и бесплатного начального общего, основного общего, среднего общего образования в муниципальных общеобразовательных организациях в Иркутской области, обеспечения дополнительного образования детей в муниципальных общеобразовательных организациях в Иркутской области на 2026 год и на плановый период 2027 и 2028 годов"
Номер опубликования: 3800202601050013
Дата опубликования: 05.01.2026
Страница №19 из 20:
Увеличить