Официальное опубликование правовых актов
ОФИЦИАЛЬНОЕ ОПУБЛИКОВАНИЕ
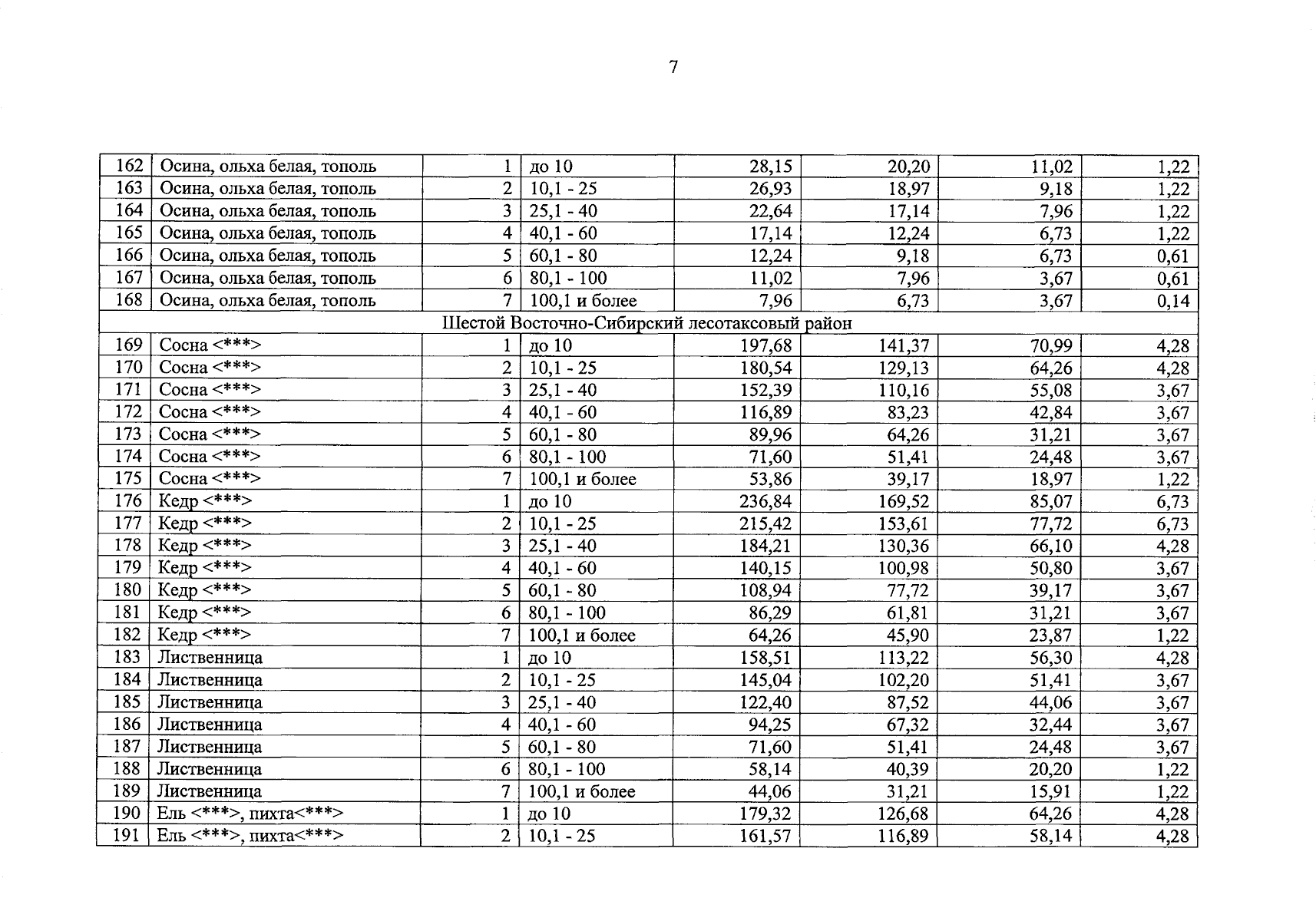
Постановление Правительства Иркутской области от 18.02.2026 № 125-пп
"О внесении изменения в приложение к постановлению администрации Иркутской области от 29 декабря 2007 года № 304-па"
Номер опубликования: 3800202602190004
Дата опубликования: 19.02.2026
Страница №8 из 11:
Увеличить