Официальное опубликование правовых актов
ОФИЦИАЛЬНОЕ ОПУБЛИКОВАНИЕ
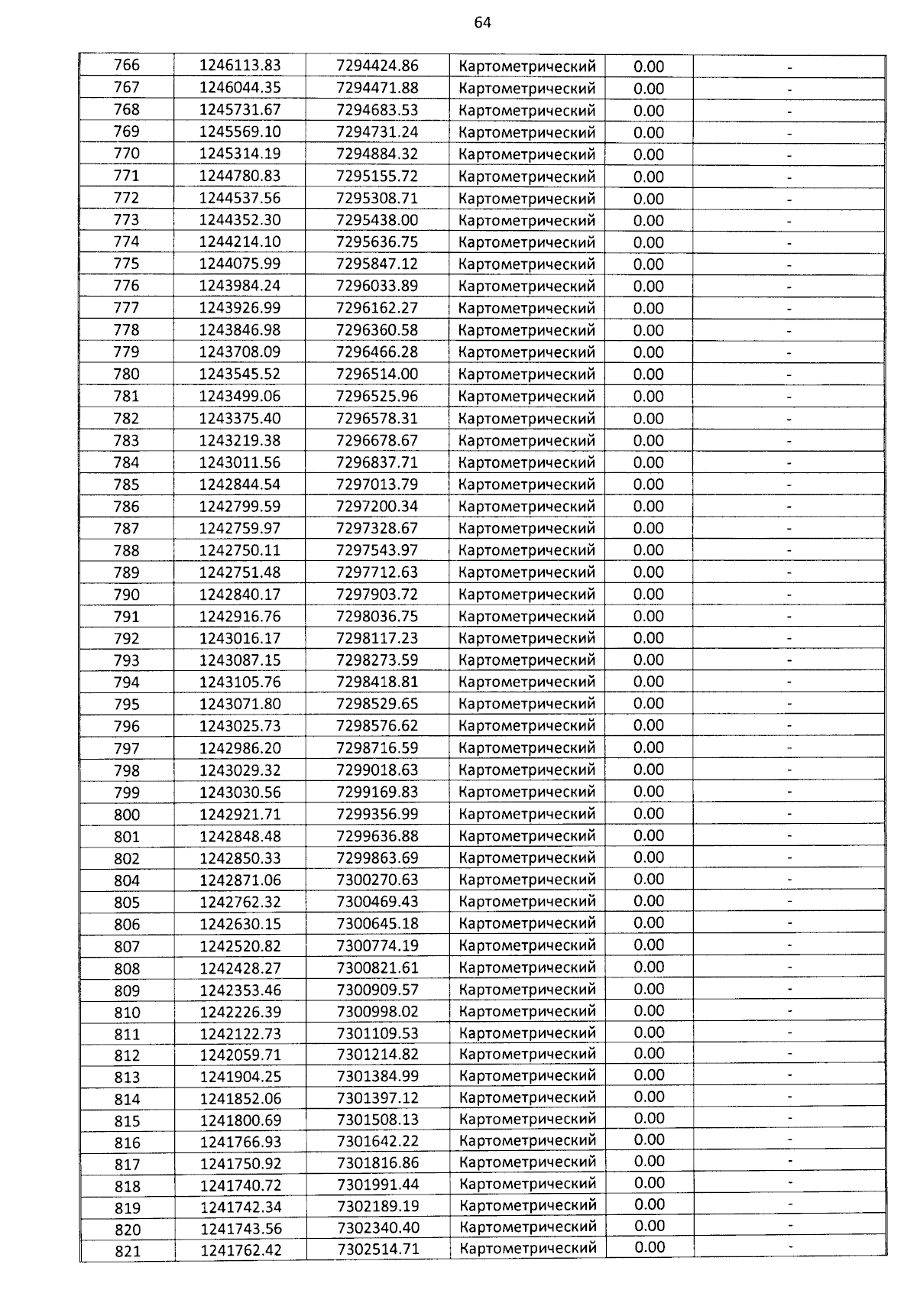
Постановление Правительства Иркутской области от 27.03.2026 № 277-пп
"Об образовании территории традиционного природопользования коренных малочисленных народов Севера, Сибири и Дальнего Востока Российской Федерации, проживающих в Иркутской области, регионального значения "Патомская", расположенной на территории Бодайбинского муниципального района Иркутской области"
Номер опубликования: 3800202603300006
Дата опубликования: 30.03.2026
Страница №76 из 123:
Увеличить