Официальное опубликование правовых актов
ОФИЦИАЛЬНОЕ ОПУБЛИКОВАНИЕ
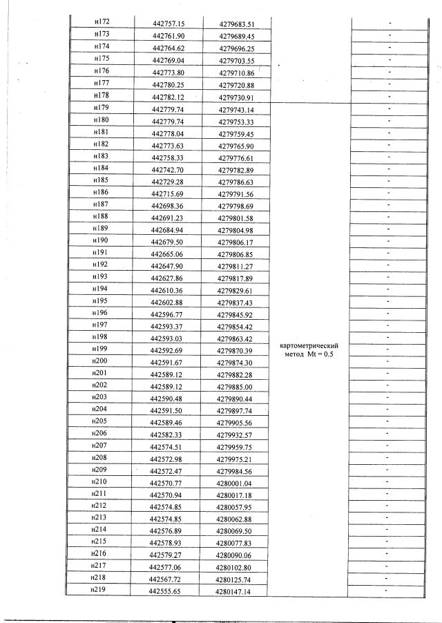
Приказ Министерства природных ресурсов и экологии Иркутской области от 20.04.2018 № 24-мпр
"О внесении изменений в приказ об установлении границ береговой линии, водоохранных зон и прибрежных защитных полос на реках Анга, Бугульдейка, Сарма и Куртун в пределах населенных пунктов Еланцы, Анга, Бугульдейка, Сарма, Куртун Ольхонского района"
Номер опубликования: 3801201804280001
Дата опубликования: 28.04.2018
Страница №31 из 58:
Увеличить