Официальное опубликование правовых актов
ОФИЦИАЛЬНОЕ ОПУБЛИКОВАНИЕ
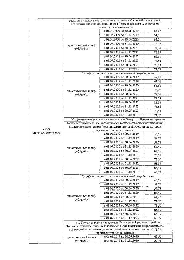
Приказ службы по тарифам Иркутской области от 20.12.2018 № 431-спр
"Об установлении долгосрочных тарифов на теплоноситель, поставляемый ООО "Южнобайкальское" (ИНН 3848006527) на территории Иркутского района"
Номер опубликования: 3801201812260029
Дата опубликования: 26.12.2018
Страница №7 из 10:
Увеличить