Официальное опубликование правовых актов
ОФИЦИАЛЬНОЕ ОПУБЛИКОВАНИЕ
Приказ службы по тарифам Иркутской области от 20.12.2024 № 79-449-спр
"О внесении изменений в отдельные приказы службы по тарифам Иркутской области"
(Зарегистрирован 28.12.2024 № 04-2884/24)
Номер опубликования: 3801202412290016
Дата опубликования: 29.12.2024
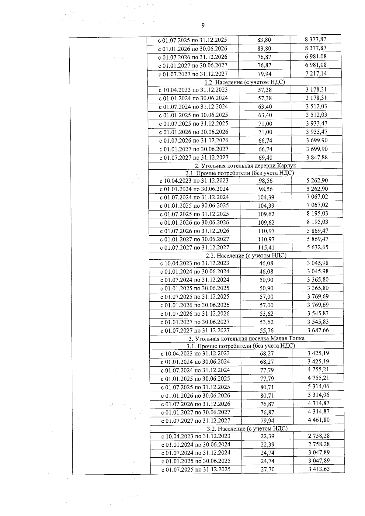
Страница №9 из 11:
Увеличить