Официальное опубликование правовых актов
ОФИЦИАЛЬНОЕ ОПУБЛИКОВАНИЕ
Приказ Министерства финансов Иркутской области от 19.06.2025 № 52-27-мпр
"О внесении изменений в приказ министерства финансов Иркутской области от 25 мая 2023 года № 29н-мпр"
(Зарегистрирован 20.06.2025 № 03-1012/25)
Номер опубликования: 3801202506200003
Дата опубликования: 20.06.2025
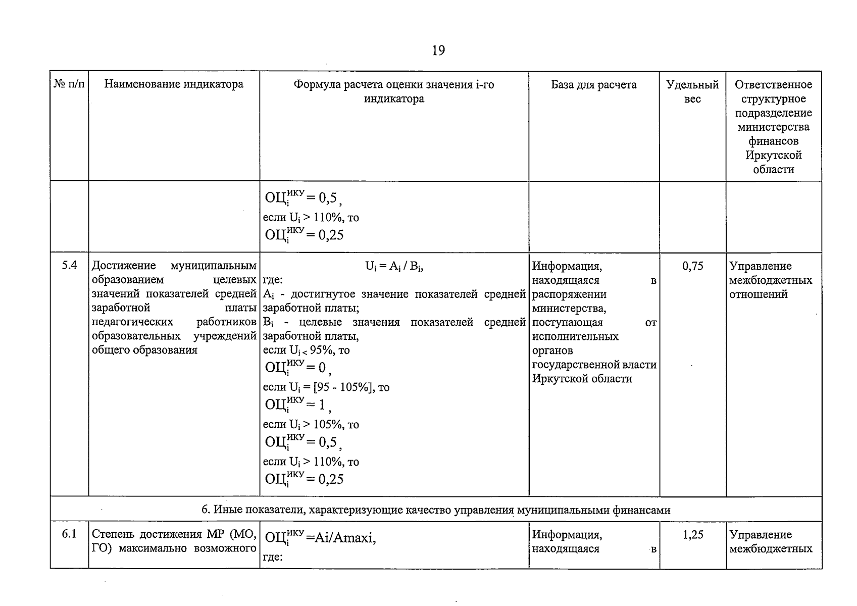
Страница №26 из 29:
Увеличить