Официальное опубликование правовых актов
ОФИЦИАЛЬНОЕ ОПУБЛИКОВАНИЕ
Приказ Министерства цифрового развития и связи Иркутской области от 27.06.2025 № 65-20-мпр
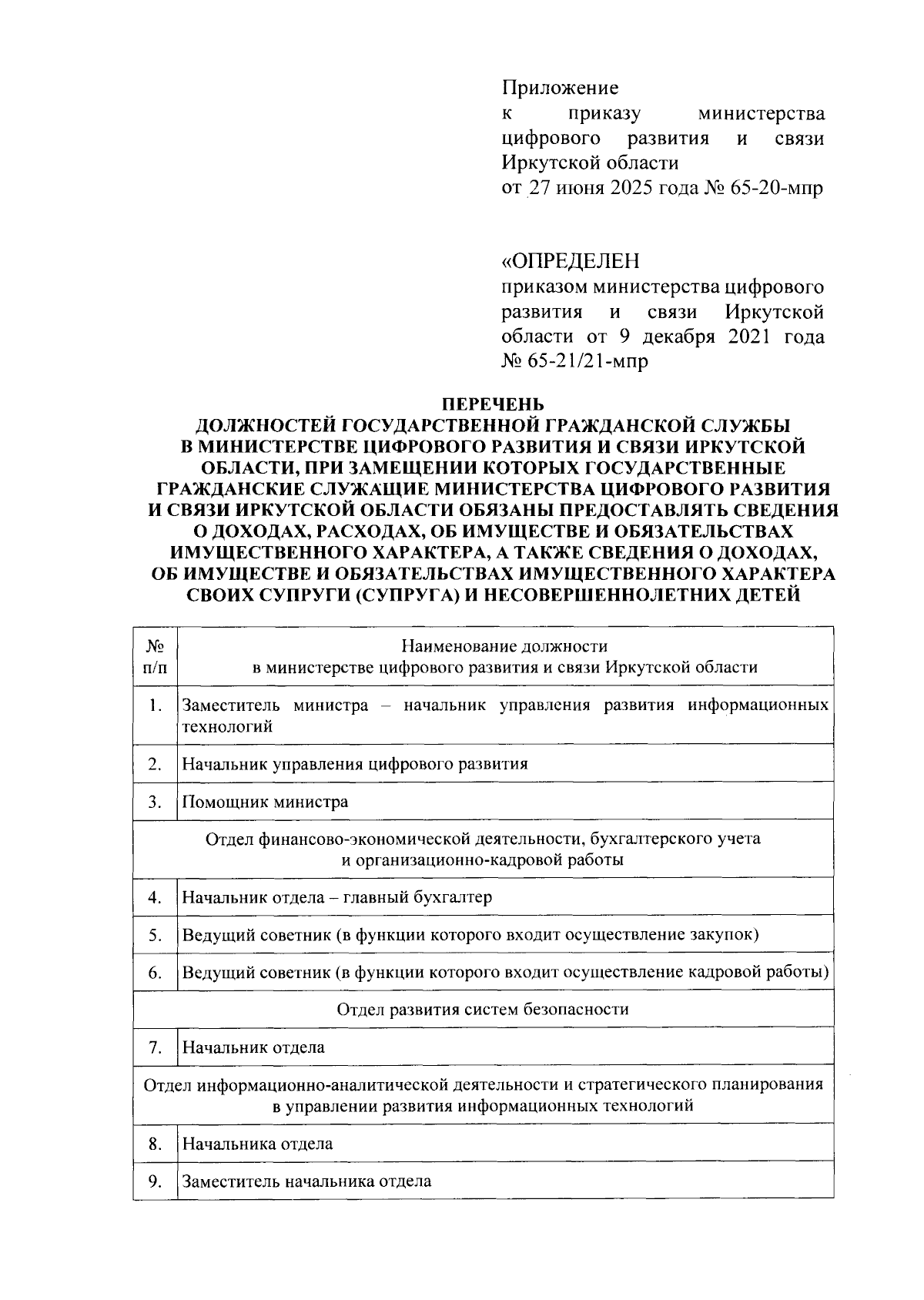
"О внесении изменения в Перечень должностей государственной гражданской службы в министерстве цифрового развития и связи Иркутской области, при замещении которых государственные гражданские служащие министерства цифрового развития и связи Иркутской области обязаны предоставлять сведения о доходах, расходах, об имуществе и обязательствах имущественного характера, а также сведения о доходах, об имуществе и обязательствах имущественного характера своих супруги (супруга) и несовершеннолетних детей"
(Зарегистрирован 27.06.2025 № 03-1047/25)
Номер опубликования: 3801202506270002
Дата опубликования: 27.06.2025
Страница №3 из 4:
Увеличить