Официальное опубликование правовых актов
ОФИЦИАЛЬНОЕ ОПУБЛИКОВАНИЕ
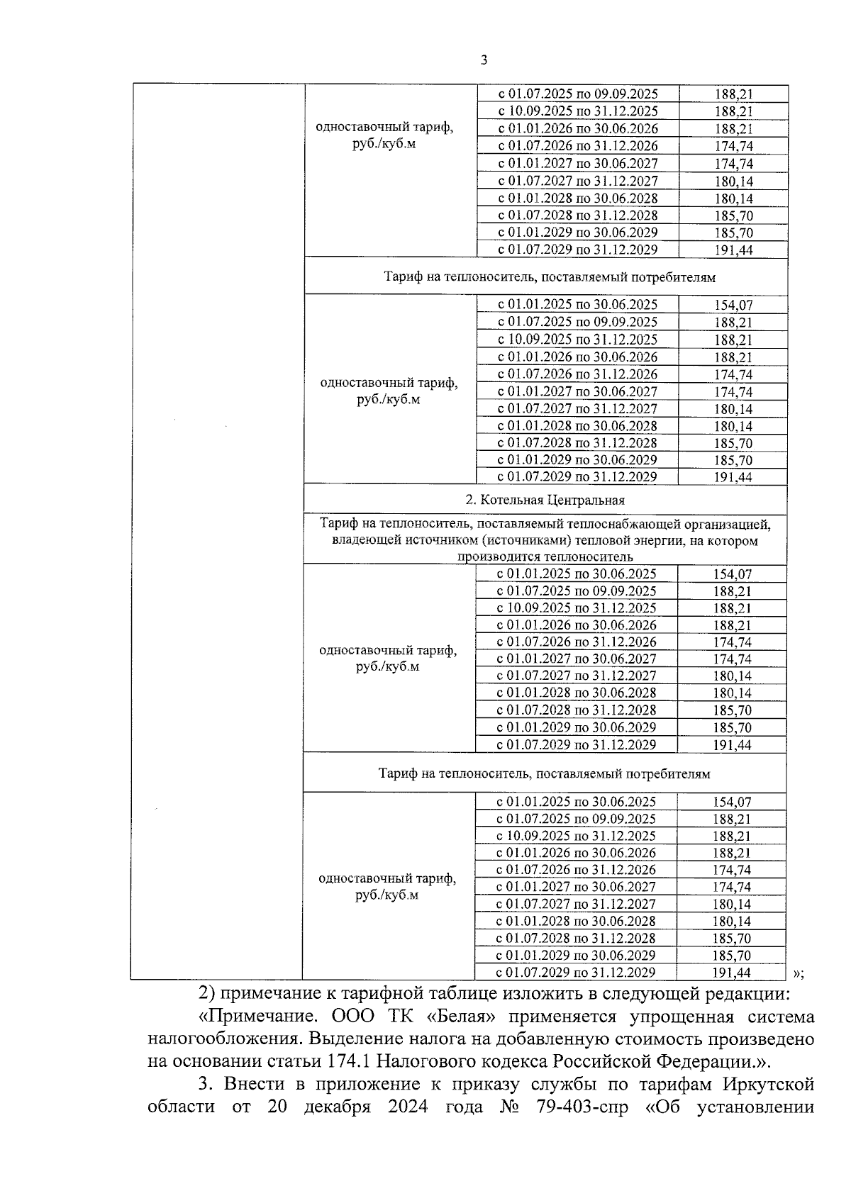
Приказ службы по тарифам Иркутской области от 09.09.2025 № 79-171-спр
"О внесении изменений в отдельные приказы службы по тарифам Иркутской области"
(Зарегистрирован 10.09.2025 № 04-1545/25)
Номер опубликования: 3801202509100007
Дата опубликования: 10.09.2025
Страница №3 из 5:
Увеличить