Официальное опубликование правовых актов
ОФИЦИАЛЬНОЕ ОПУБЛИКОВАНИЕ
Приказ Министерства природных ресурсов и экологии Иркутской области от 05.11.2025 № 66-52-мпр
"О внесении изменений в Приказ Министерства природных ресурсов и экологии Иркутской области от 20 ноября 2018 года № 62-мпр"
(Зарегистрирован 06.11.2025 № 03-2013/25)
Номер опубликования: 3801202511100002
Дата опубликования: 10.11.2025
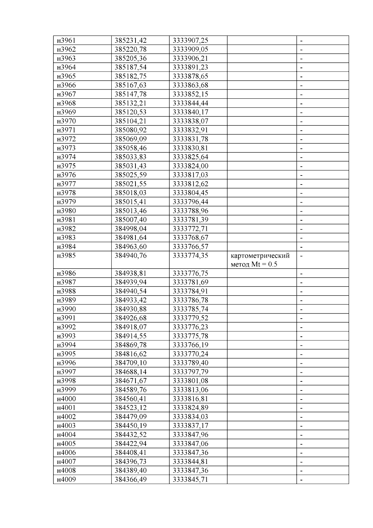
Страница №320 из 383:
Увеличить