Официальное опубликование правовых актов
ОФИЦИАЛЬНОЕ ОПУБЛИКОВАНИЕ
Приказ службы архитектуры Иркутской области от 10.11.2025 № 82-15-спр
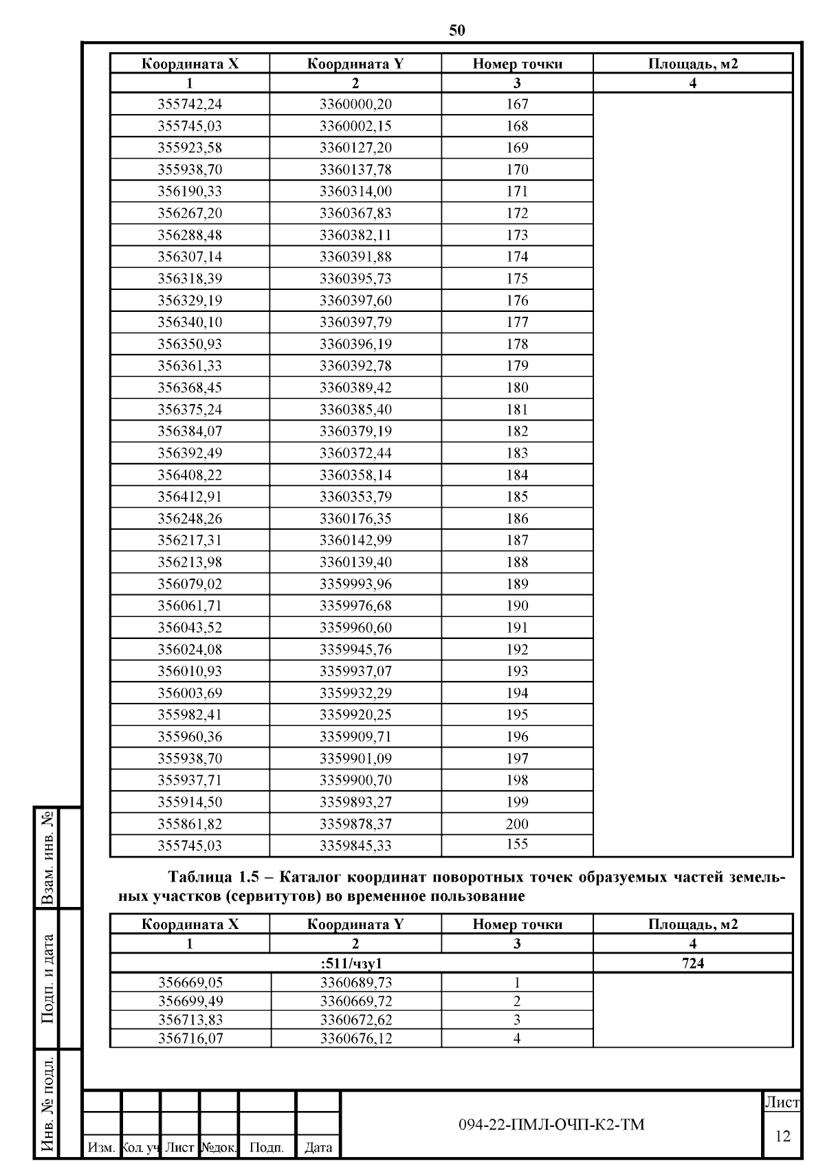
"Об утверждении проекта планировки территории, проекта межевания территории (в составе проекта планировки территории), предназначенной для размещения линейного объекта: "Строительство автомобильной дороги общего пользования регионального или межмуниципального значения к санаторно-оздоровительному комплексу "Электра"
(Зарегистрирован 11.11.2025 № 04-2031/25)
Номер опубликования: 3801202511120004
Дата опубликования: 12.11.2025
Страница №52 из 121:
Увеличить