Официальное опубликование правовых актов
ОФИЦИАЛЬНОЕ ОПУБЛИКОВАНИЕ
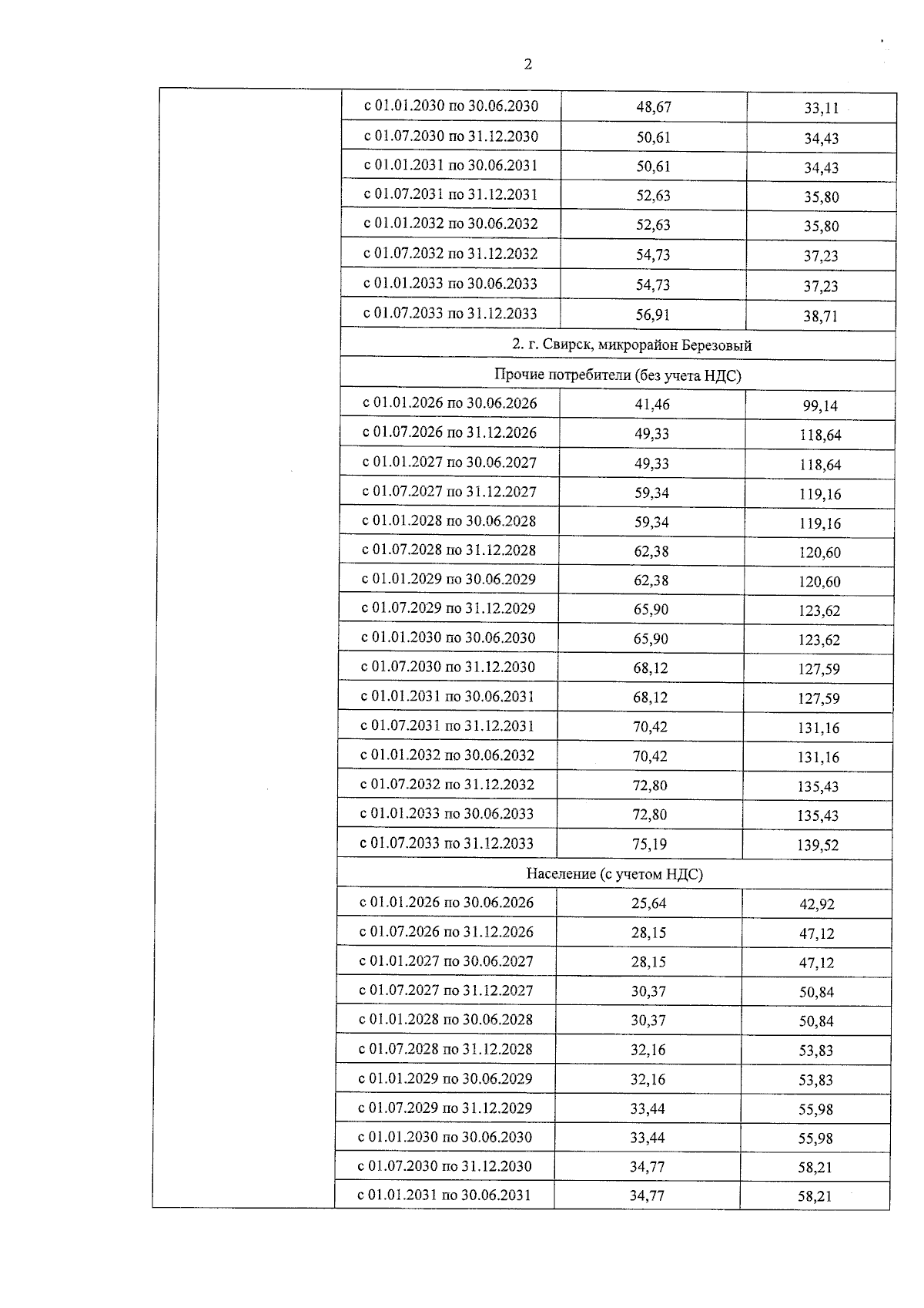
Приказ службы по тарифам Иркутской области от 03.12.2025 № 79-367-спр
"Об установлении долгосрочных тарифов на питьевую воду и водоотведение для потребителей ООО УК "Водоканал" (ИНН 3851997853) на территории города Свирска"
(Зарегистрирован 04.12.2025 № 04-2191/25)
Номер опубликования: 3801202512050003
Дата опубликования: 05.12.2025
Страница №4 из 7:
Увеличить