Официальное опубликование правовых актов
ОФИЦИАЛЬНОЕ ОПУБЛИКОВАНИЕ
Приказ Министерства природных ресурсов и экологии Иркутской области от 23.03.2026 № 66-9-мпр
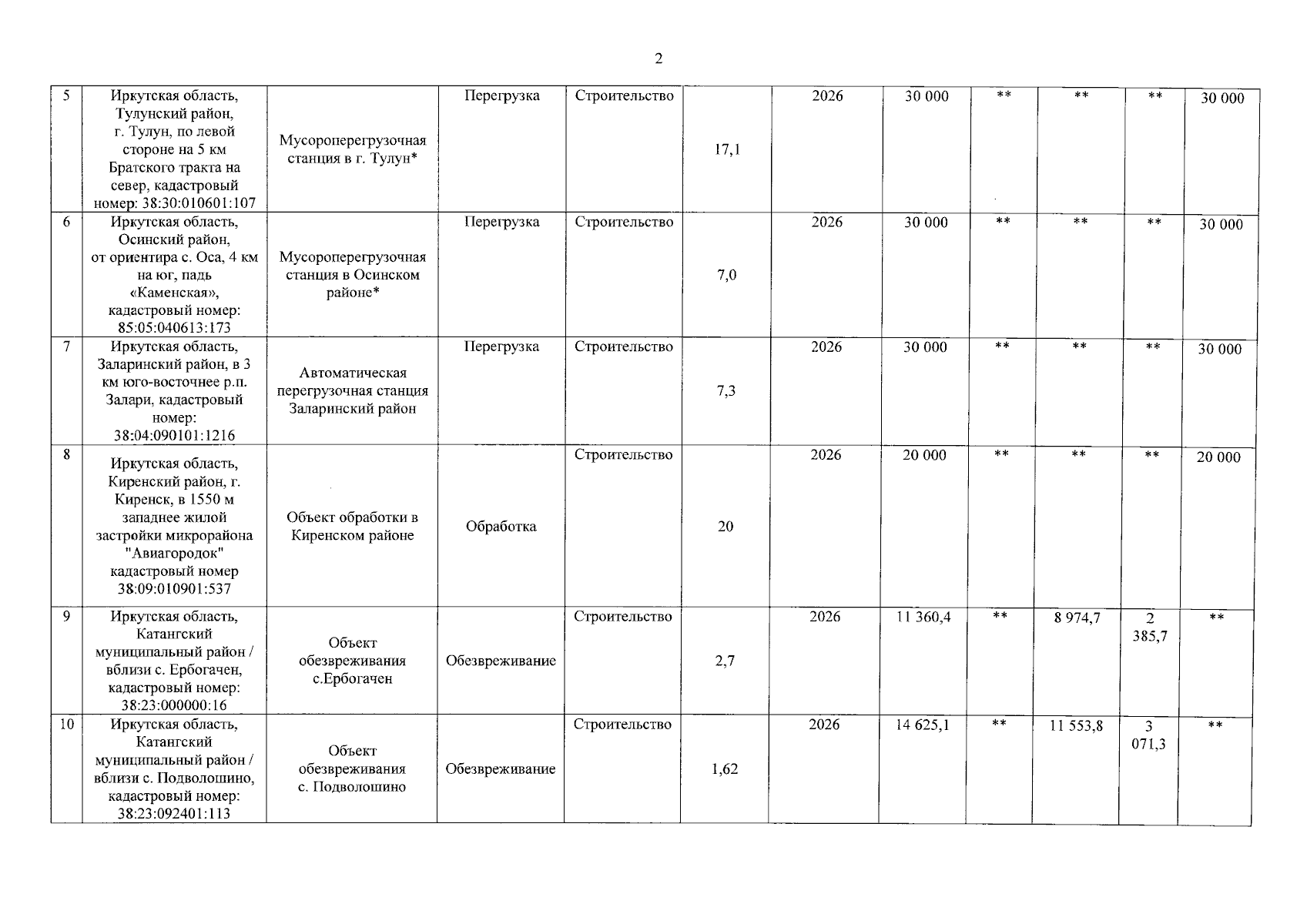
"О внесении изменений в региональную программу Иркутской области "Обращение с отходами, в том числе с твердыми коммунальными отходами" на 2020 – 2030 годы"
(Зарегистрирован 24.03.2026 № 03-0358/26)
Номер опубликования: 3801202603240006
Дата опубликования: 24.03.2026
Страница №20 из 25:
Увеличить