Официальное опубликование правовых актов
ОФИЦИАЛЬНОЕ ОПУБЛИКОВАНИЕ
Приказ Министерства культуры Иркутской области от 30.03.2026 № 56-5-мпр
"О внесении изменений в приказ министерства культуры Иркутской области от 16 ноября 2022 года № 56-35-мпр"
(Зарегистрирован 02.04.2026 № 03-0413/26)
Номер опубликования: 3801202604030001
Дата опубликования: 03.04.2026
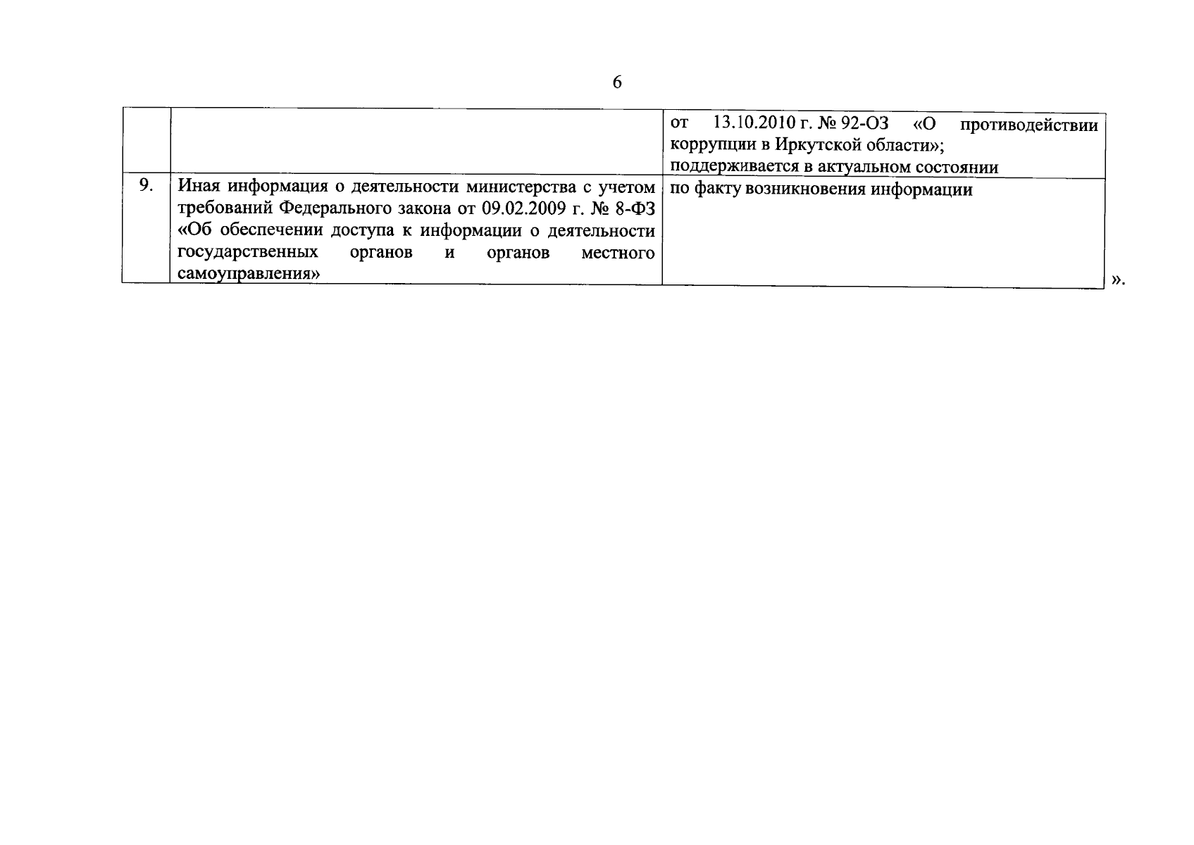
Страница №8 из 10:
Увеличить