Официальное опубликование правовых актов
ОФИЦИАЛЬНОЕ ОПУБЛИКОВАНИЕ
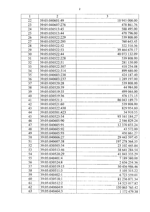
Постановление Правительства Калининградской области от 27.01.2015 № 22
"Об утверждении результатов определения кадастровой стоимости земельных участков в составе земель особо охраняемых территорий и объектов на территории Калининградской области"
Номер опубликования: 3900201502020001
Дата опубликования: 02.02.2015
Страница №3 из 6:
Увеличить