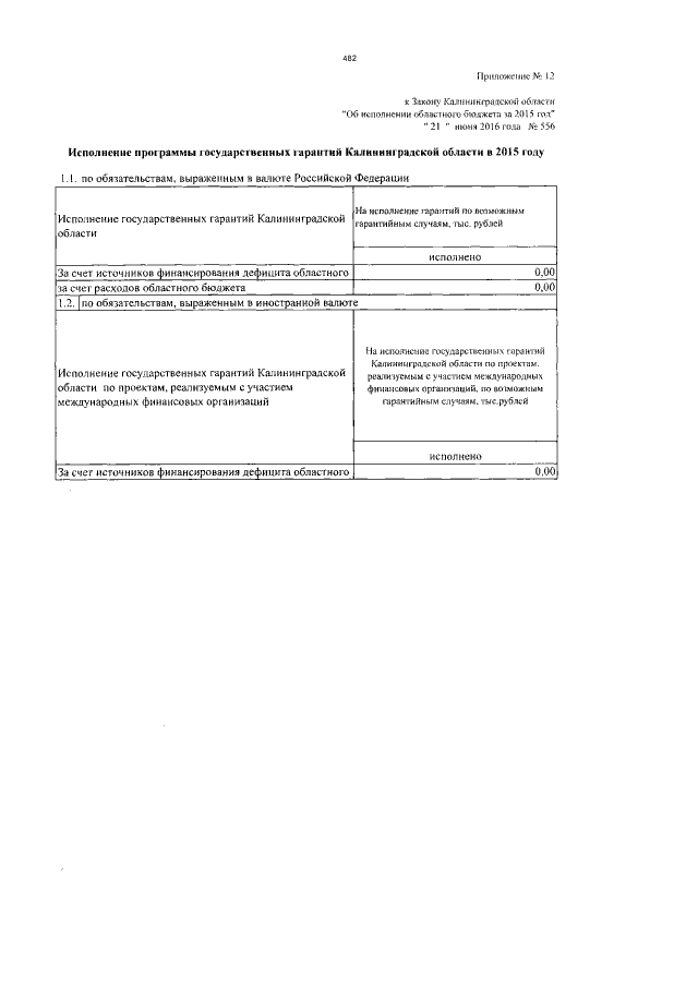
Закон Калининградской области от 21.06.2016 № 556
"Об исполнении областного бюджета за 2015 год"
"Об исполнении областного бюджета за 2015 год"
Номер опубликования: 3900201606290001
Дата опубликования:
29.06.2016
