Официальное опубликование правовых актов
ОФИЦИАЛЬНОЕ ОПУБЛИКОВАНИЕ
Постановление Правительства Калининградской области от 11.04.2018 № 195
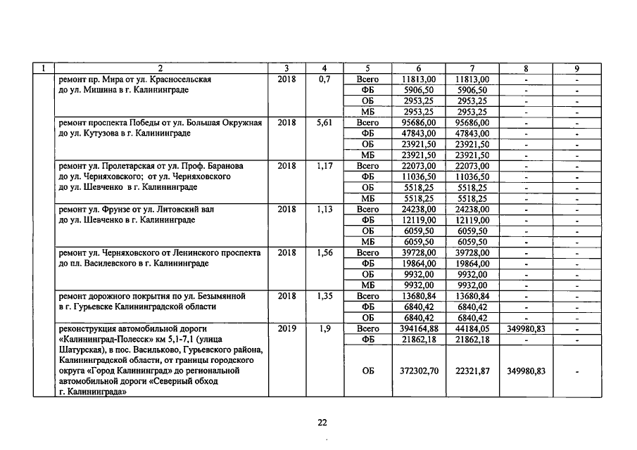
"О внесении изменения в перечень мероприятий и объектов капитальных вложений государственной (муниципальной) собственности с указанием объемов финансирования за счет ассигнований, предусмотренных в 2018 году по подразделу "Дорожное хозяйство (дорожные фонды)" раздела "Национальная экономика" Законом Калининградской области от 19 декабря 2017 года № 128 "Об областном бюджете на 2018 год и на плановый период 2019 и 2020 годов" и признании утратившим силу постановления Правительства Калининградской области от 08 февраля 2018 года № 70"
Номер опубликования: 3900201804170003
Дата опубликования: 17.04.2018
Страница №24 из 28:
Увеличить