Официальное опубликование правовых актов
ОФИЦИАЛЬНОЕ ОПУБЛИКОВАНИЕ
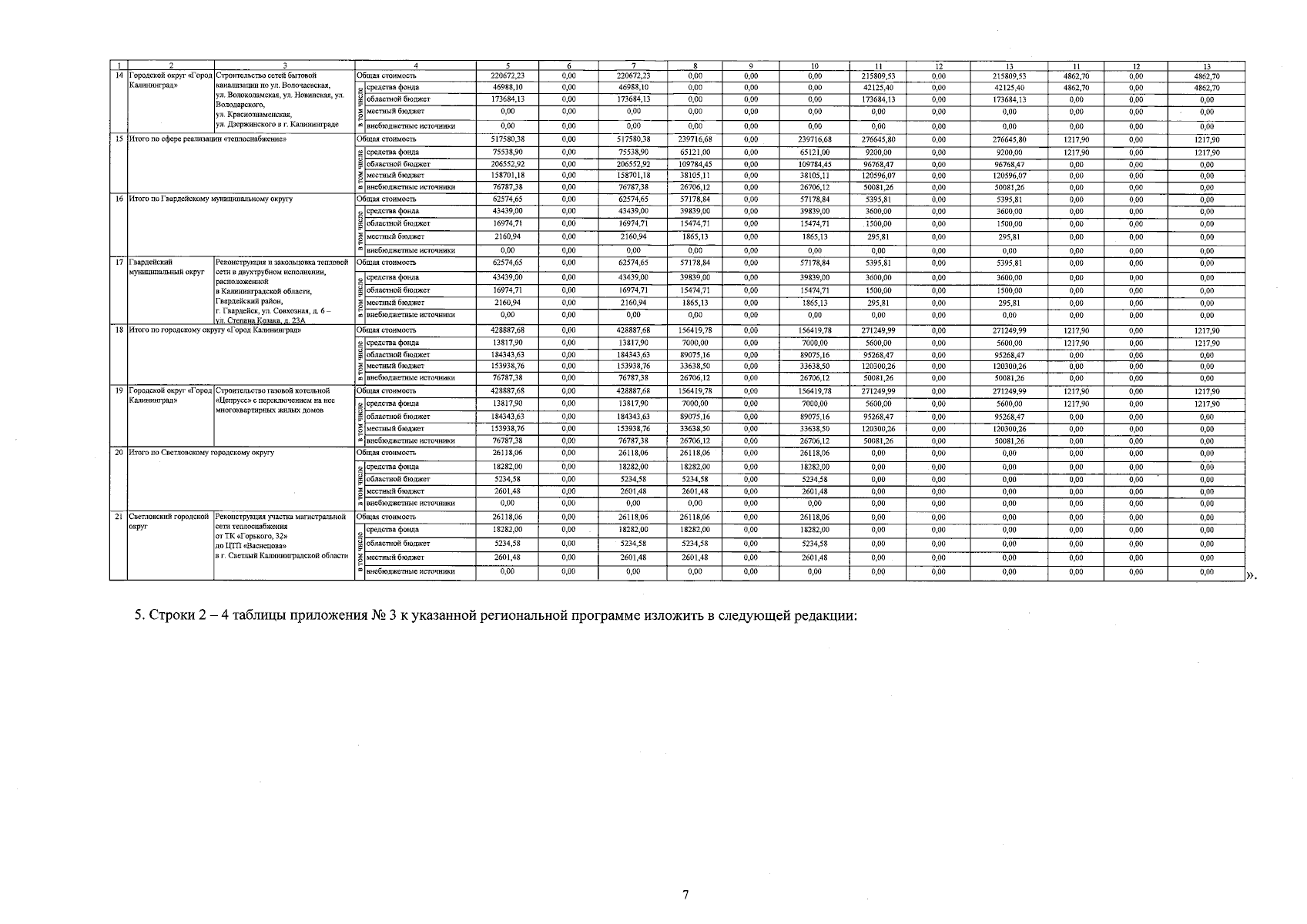
Постановление Правительства Калининградской области от 28.12.2024 № 505-п
"О внесении изменений в региональную программу "Модернизация систем коммунальной инфраструктуры (2023 - 2027 годы)"
Номер опубликования: 3900202412280025
Дата опубликования: 28.12.2024
Страница №8 из 14:
Увеличить