Официальное опубликование правовых актов
ОФИЦИАЛЬНОЕ ОПУБЛИКОВАНИЕ
Постановление Правительства Калининградской области от 25.06.2025 № 241-п
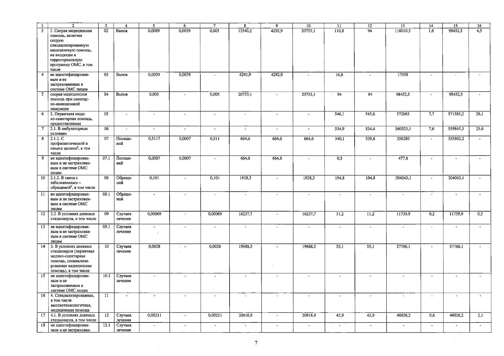
"О внесении изменений в территориальную программу государственных гарантий бесплатного оказания гражданам медицинской помощи в Калининградской области на 2025 год и на плановый период 2026 и 2027 годов"
Номер опубликования: 3900202506250013
Дата опубликования: 25.06.2025
Страница №8 из 79:
Увеличить