Официальное опубликование правовых актов
ОФИЦИАЛЬНОЕ ОПУБЛИКОВАНИЕ
Постановление Правительства Калининградской области от 20.08.2025 № 315-п
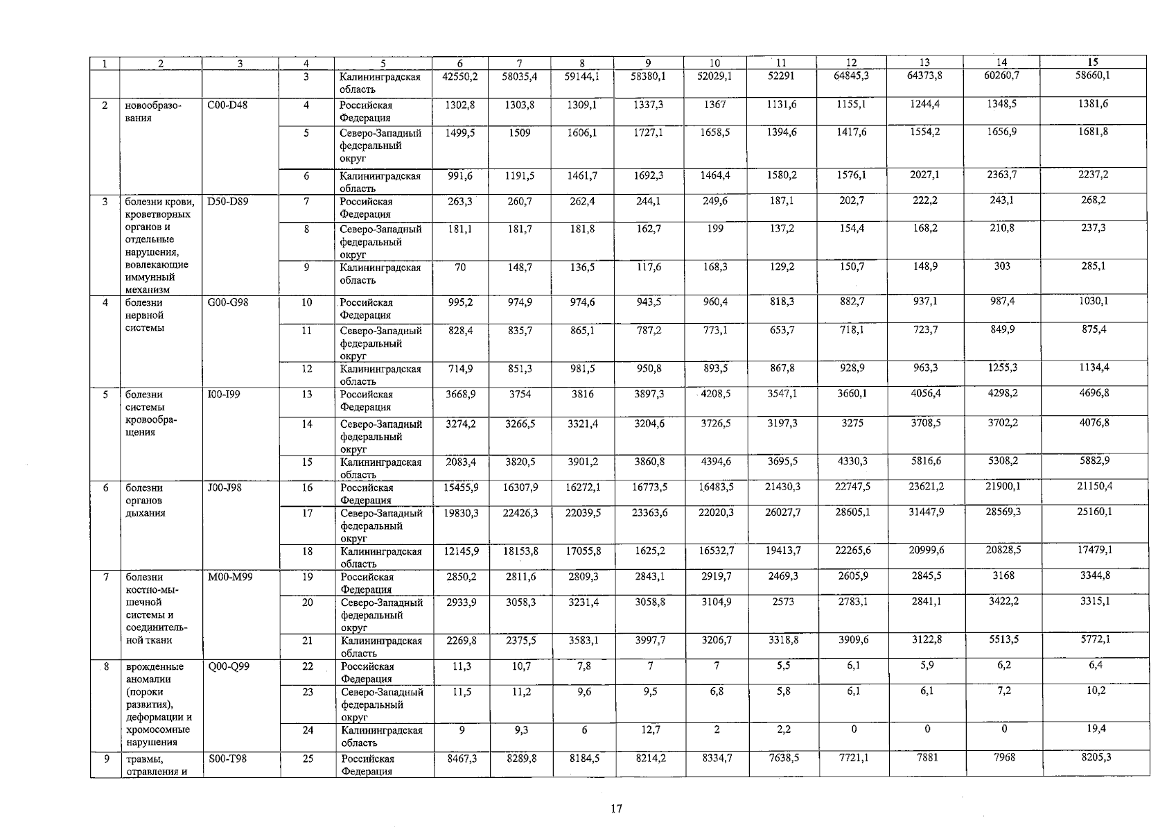
"О внесении изменений в постановление Правительства Калининградской области от 01 июня 2022 года № 292 "Об утверждении региональной программы Калининградской области "Оптимальная для восстановления здоровья медицинская реабилитация (Калининградская область)"
Номер опубликования: 3900202508200006
Дата опубликования: 20.08.2025
Страница №18 из 104:
Увеличить