Официальное опубликование правовых актов
ОФИЦИАЛЬНОЕ ОПУБЛИКОВАНИЕ
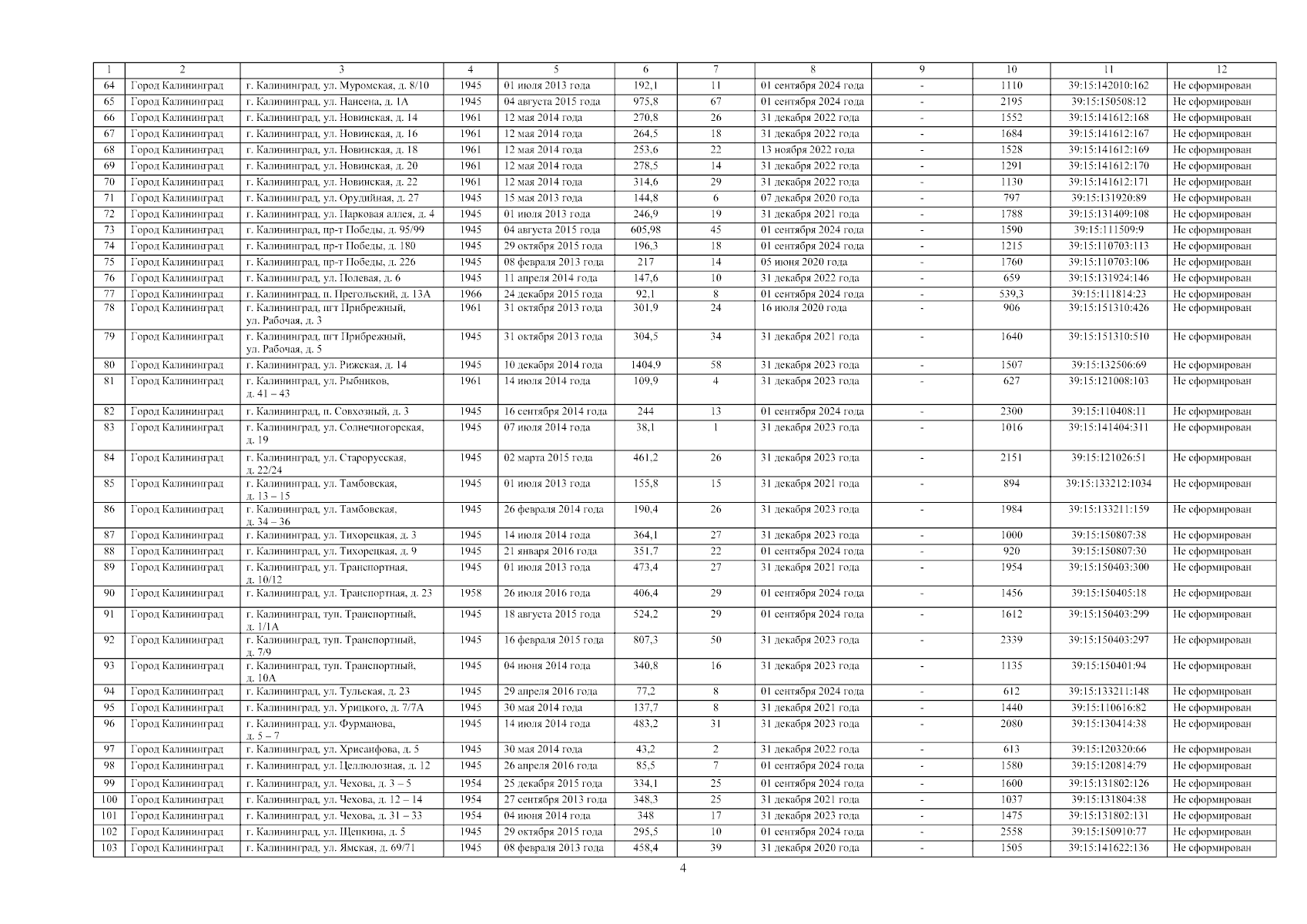
Постановление Правительства Калининградской области от 24.11.2025 № 441-п
"О внесении изменений в региональную адресную программу "Переселение граждан из аварийного жилищного фонда на территории Калининградской области"
Номер опубликования: 3900202511250003
Дата опубликования: 25.11.2025
Страница №5 из 22:
Увеличить