Официальное опубликование правовых актов
ОФИЦИАЛЬНОЕ ОПУБЛИКОВАНИЕ
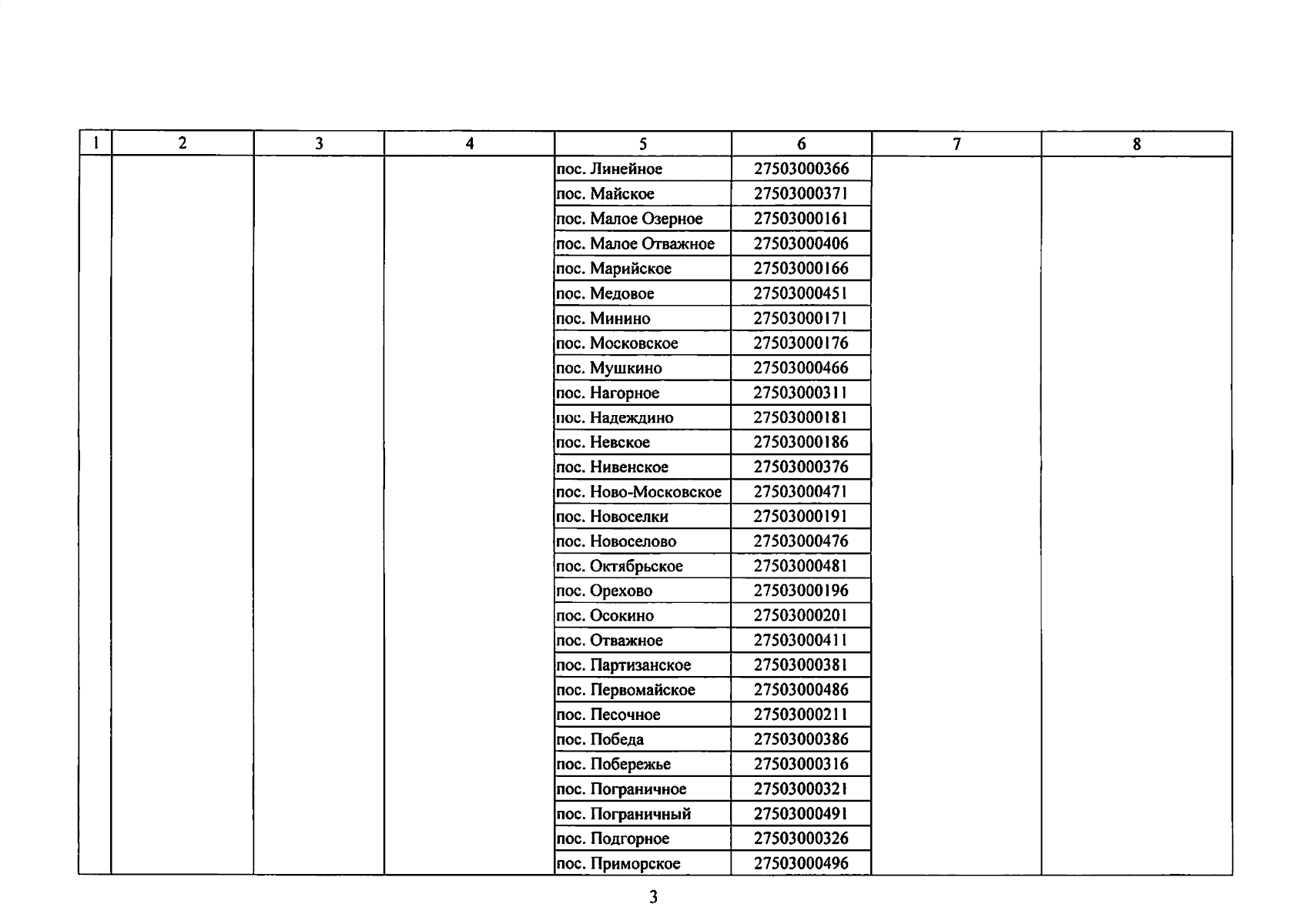
Распоряжение Правительства Калининградской области от 27.03.2026 № 93-рп
"О внесении изменений в распоряжение Правительства Калининградской области от 27 февраля 2023 года № 47-рп "Об утверждении перечня опорных населенных пунктов и прилегающих населенных пунктов Калининградской области"
Номер опубликования: 3900202603300006
Дата опубликования: 30.03.2026
Страница №4 из 39:
Увеличить