Официальное опубликование правовых актов
ОФИЦИАЛЬНОЕ ОПУБЛИКОВАНИЕ
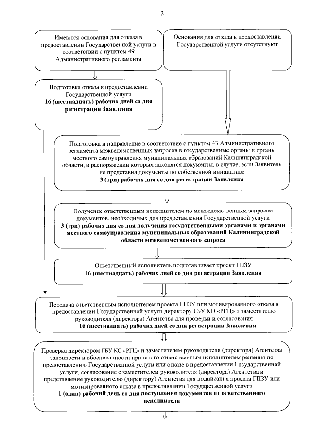
Приказ Агентства по архитектуре, градостроению и перспективному развитию Калининградской области от 30.06.2017 № 97
"Об административном регламенте предоставления Агентством по архитектуре, градостроению и перспективному развитию Калининградской области государственной услуги по предоставлению градостроительного плана земельного участка (за исключением градостроительного плана земельного участка в целях строительства объекта индивидуального жилищного строительства)"
Номер опубликования: 3901201707070002
Дата опубликования: 07.07.2017
Страница №29 из 33:
Увеличить