Официальное опубликование правовых актов
ОФИЦИАЛЬНОЕ ОПУБЛИКОВАНИЕ
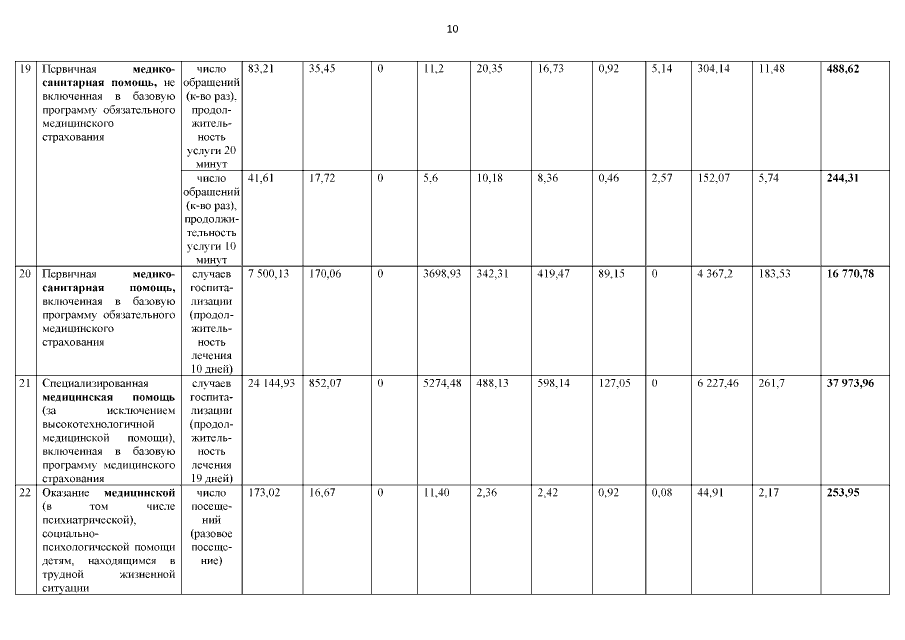
Приказ Министерства социальной политики Калининградской области от 24.05.2018 № 287
"О внесении изменений и дополнений в приказ Министерства социальной политики Калининградской области от 16 февраля 2018 г. № 74 "Об утверждении значений базовых нормативов затрат на оказание государственных услуг учреждениями, подведомственными Министерству социальной политики Калининградской области"
Номер опубликования: 3901201805280001
Дата опубликования: 28.05.2018
Страница №12 из 21:
Увеличить