Официальное опубликование правовых актов
ОФИЦИАЛЬНОЕ ОПУБЛИКОВАНИЕ
Приказ Министерства строительства и жилищно-коммунального хозяйства Калининградской области от 28.09.2018 № 401
"О внесении изменений в приказ Министерства строительства и жилищно-коммунального хозяйства Калининградской области от 08 июня 2018 года № 211"
Номер опубликования: 3901201810030001
Дата опубликования: 03.10.2018
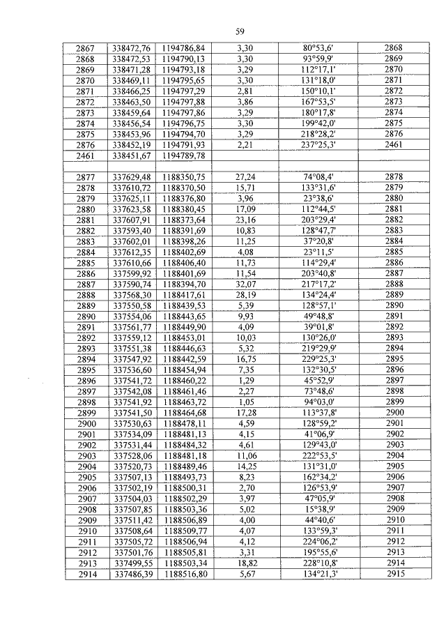
Страница №61 из 95:
Увеличить