Официальное опубликование правовых актов
ОФИЦИАЛЬНОЕ ОПУБЛИКОВАНИЕ
Приказ Агентства по архитектуре, градостроению и перспективному развитию Калининградской области от 29.11.2018 № 321
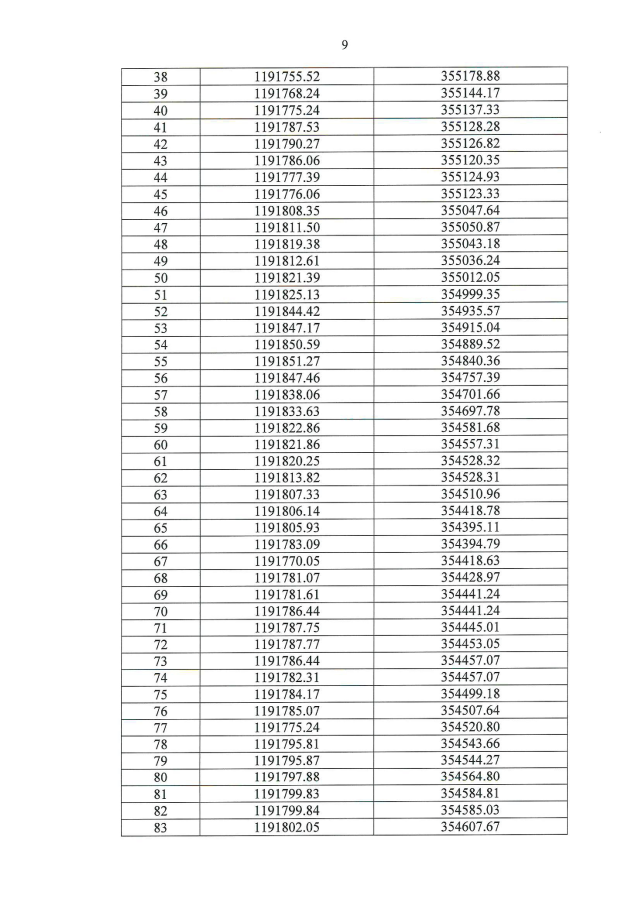
"Об утверждении проекта планировки территории с проектом межевания в его составе в границах улицы Дачная – часть улицы Стрелецкой (от проспекта Московского до улицы Ю. Гагарина) в городе Калининграде, предусматривающего размещение линейного объекта"
Номер опубликования: 3901201812050004
Дата опубликования: 05.12.2018
Страница №11 из 23:
Увеличить