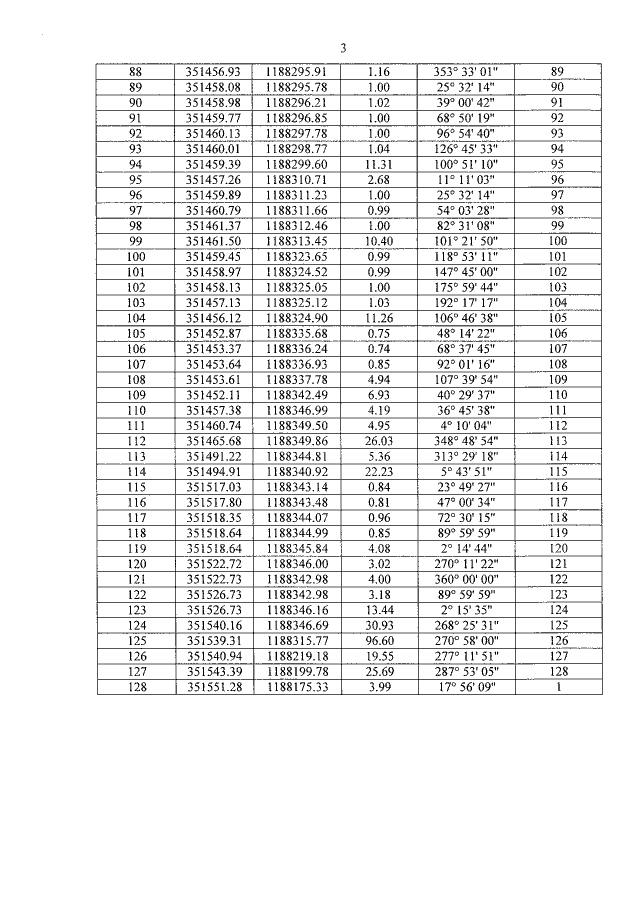
Приказ Министерства строительства и жилищно-коммунального хозяйства Калининградской области от 12.12.2018 № 502
"Об утверждении границ охранных зон газораспределительных сетей и наложении ограничений (обременений) на входящие в них земельные участки"
"Об утверждении границ охранных зон газораспределительных сетей и наложении ограничений (обременений) на входящие в них земельные участки"
Номер опубликования: 3901201812180012
Дата опубликования:
18.12.2018
