Официальное опубликование правовых актов
ОФИЦИАЛЬНОЕ ОПУБЛИКОВАНИЕ
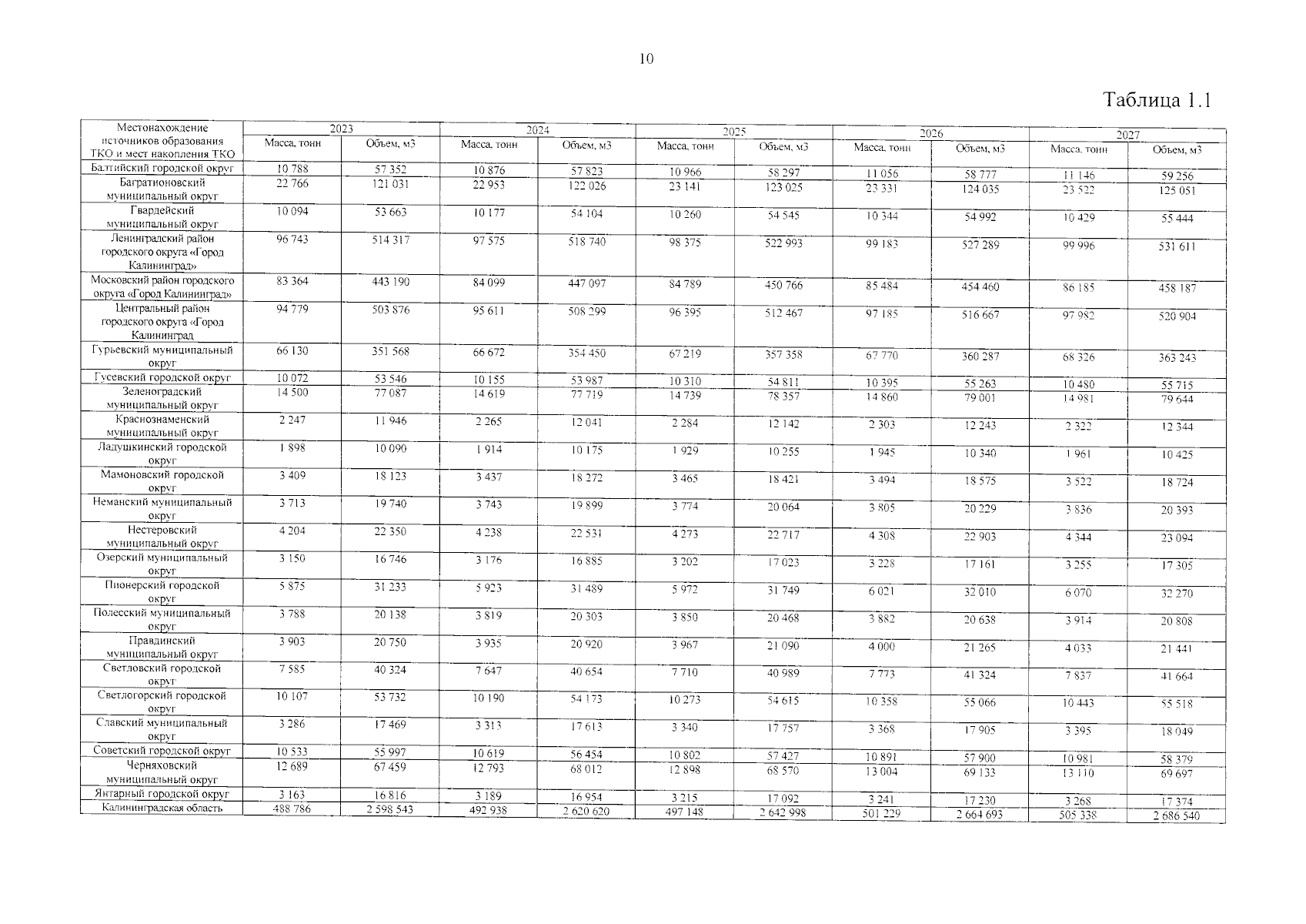
Приказ Министерства природных ресурсов и экологии Калининградской области от 07.08.2024 № 323
"О внесении изменений в приказ Министерства природных ресурсов и экологии Калининградской области от 22 ноября 2019 года № 649"
(Зарегистрирован 12.08.2024 № ГР/646/2024)
Номер опубликования: 3901202408150003
Дата опубликования: 15.08.2024
Страница №11 из 2643:
Увеличить