Официальное опубликование правовых актов
ОФИЦИАЛЬНОЕ ОПУБЛИКОВАНИЕ
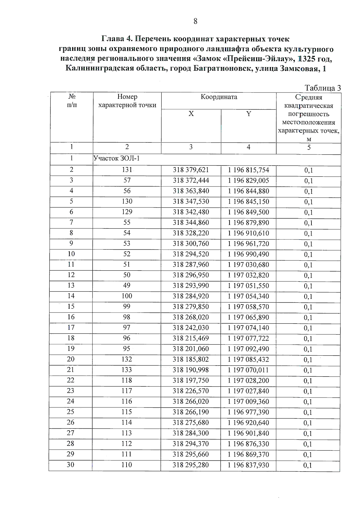
Приказ Службы государственной охраны объектов культурного наследия Калининградской области от 05.09.2024 № 314
"Об установлении зон охраны объекта культурного наследия регионального значения "Замок "Прейсиш-Эйлау", 1325 год, Калининградская область, город Багратионовск, улица Замковая, 1, и утверждении требований к градостроительным регламентам в границах территорий данных зон"
(Зарегистрирован 05.09.2024 № ГР/725/2024)
Номер опубликования: 3901202409060006
Дата опубликования: 06.09.2024
Страница №10 из 20:
Увеличить