Официальное опубликование правовых актов
ОФИЦИАЛЬНОЕ ОПУБЛИКОВАНИЕ
Приказ Министерства строительства и жилищно-коммунального хозяйства Калининградской области от 13.02.2025 № 9
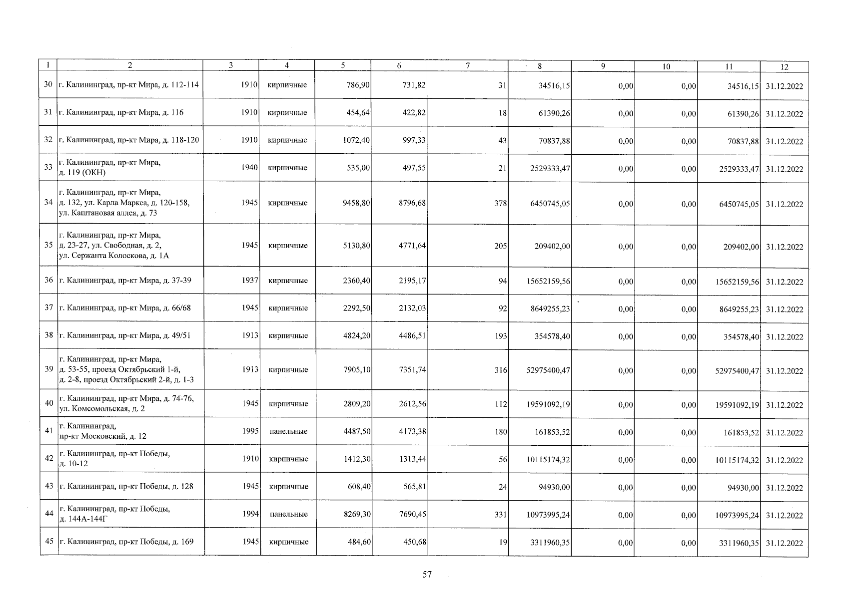
"О внесении изменений в краткосрочный план реализации на 2021 – 2023 годы региональной программы капитального ремонта общего имущества в многоквартирных домах, расположенных на территории Калининградской области"
(Зарегистрирован 13.02.2025 № ГР/94/2025)
Номер опубликования: 3901202502140003
Дата опубликования: 14.02.2025
Страница №59 из 153:
Увеличить