Официальное опубликование правовых актов
ОФИЦИАЛЬНОЕ ОПУБЛИКОВАНИЕ
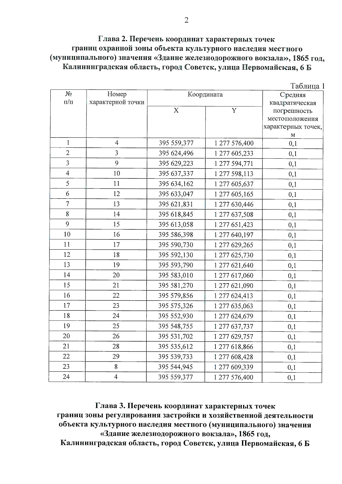
Приказ Службы государственной охраны объектов культурного наследия Калининградской области от 27.02.2025 № 86
"Об установлении зон охраны объекта культурного наследия местного (муниципального) значения "Здание железнодорожного вокзала", 1865 год, Калининградская область, город Советск, улица Первомайская, 6 Б, и утверждении требований к градостроительным регламентам в границах территорий данных зон"
(Зарегистрирован 03.03.2025 № ГР/174/2025)
Номер опубликования: 3901202503050010
Дата опубликования: 05.03.2025
Страница №4 из 12:
Увеличить