Официальное опубликование правовых актов
ОФИЦИАЛЬНОЕ ОПУБЛИКОВАНИЕ
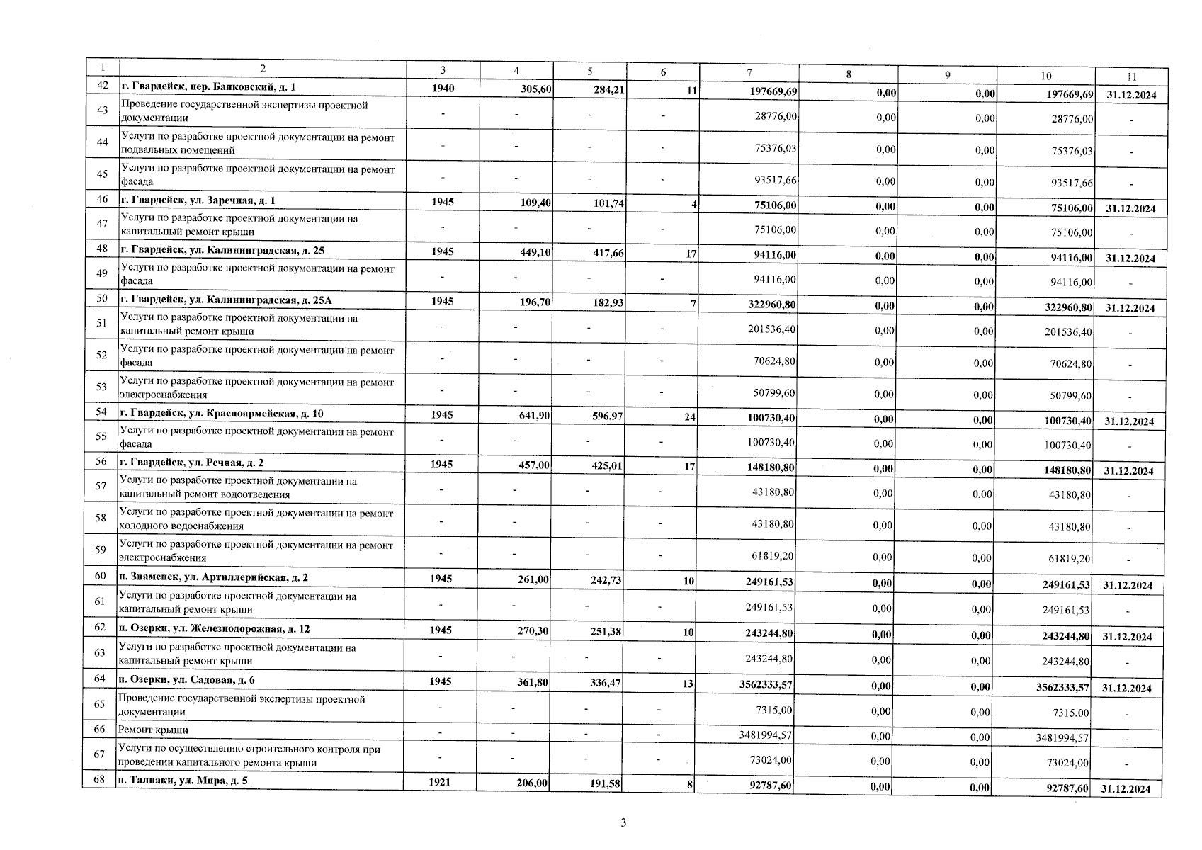
Приказ Министерства строительства и жилищно-коммунального хозяйства Калининградской области от 26.06.2025 № 52
"О внесении изменений в краткосрочный план реализации на 2024 – 2026 годы региональной программы капитального ремонта общего имущества в многоквартирных домах, расположенных на территории Калининградской области"
(Зарегистрирован 26.06.2025 № ГР/467/2025)
Номер опубликования: 3901202506270004
Дата опубликования: 27.06.2025
Страница №5 из 289:
Увеличить