Официальное опубликование правовых актов
ОФИЦИАЛЬНОЕ ОПУБЛИКОВАНИЕ
Приказ Министерства градостроительной политики Калининградской области от 09.07.2025 № 223
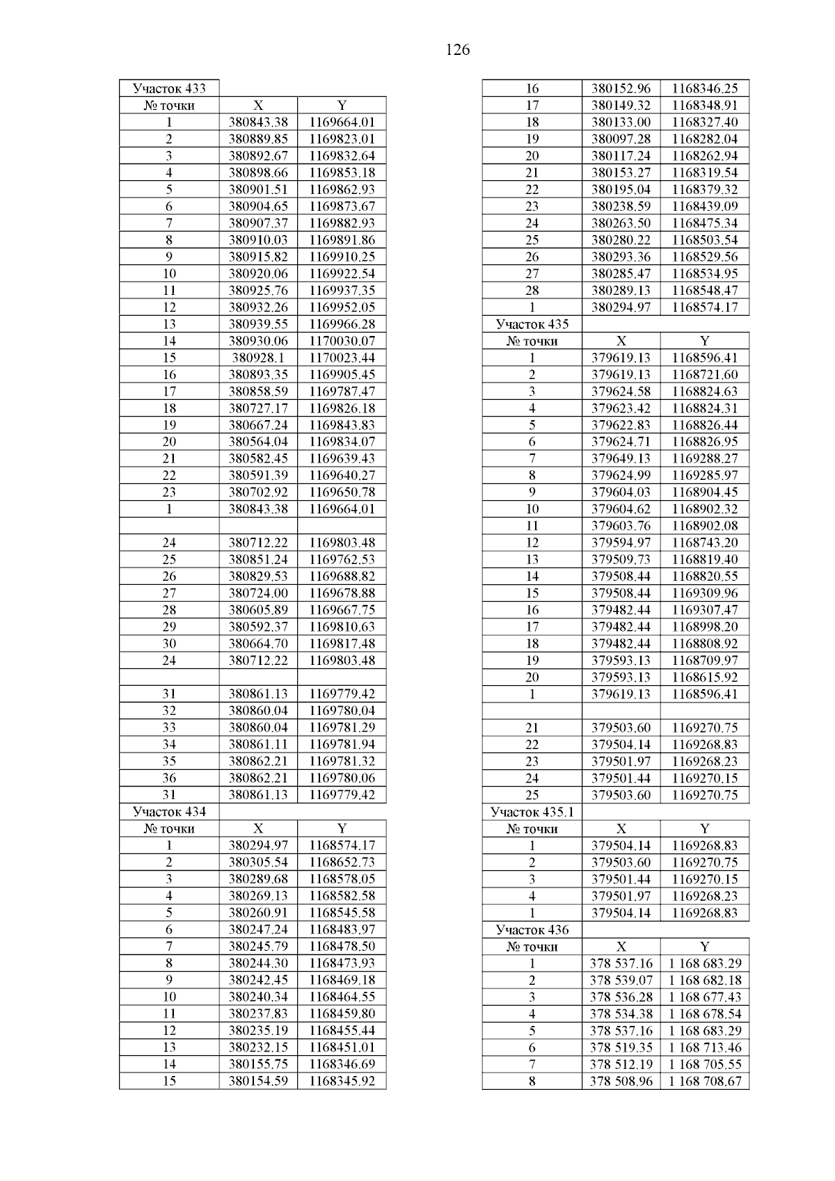
"Об утверждении проекта планировки территории с проектом межевания в его составе в целях реализации инвестиционного проекта "Светлогорск Golf&Residence" в пос. Зори г. Светлогорска Калининградской области"
(Зарегистрирован 10.07.2025 № ГР/500/2025)
Номер опубликования: 3901202507140002
Дата опубликования: 14.07.2025
Страница №128 из 142:
Увеличить