Официальное опубликование правовых актов
ОФИЦИАЛЬНОЕ ОПУБЛИКОВАНИЕ
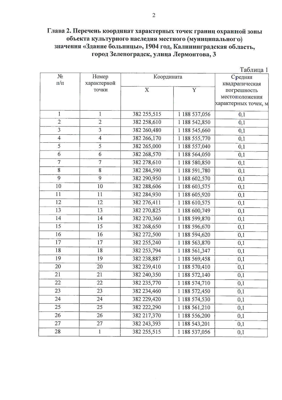
Приказ Службы государственной охраны объектов культурного наследия Калининградской области от 01.09.2025 № 315
"Об установлении зон охраны объекта культурного наследия местного (муниципального) значения "Здание больницы", 1904 год, Калининградская область, город Зеленоградск, улица Лермонтова, 3, и об утверждении требований к градостроительным регламентам в границах территории данных зон"
(Зарегистрирован 01.09.2025 № ГР/613/2025)
Номер опубликования: 3901202509040007
Дата опубликования: 04.09.2025
Страница №4 из 10:
Увеличить