Официальное опубликование правовых актов
ОФИЦИАЛЬНОЕ ОПУБЛИКОВАНИЕ
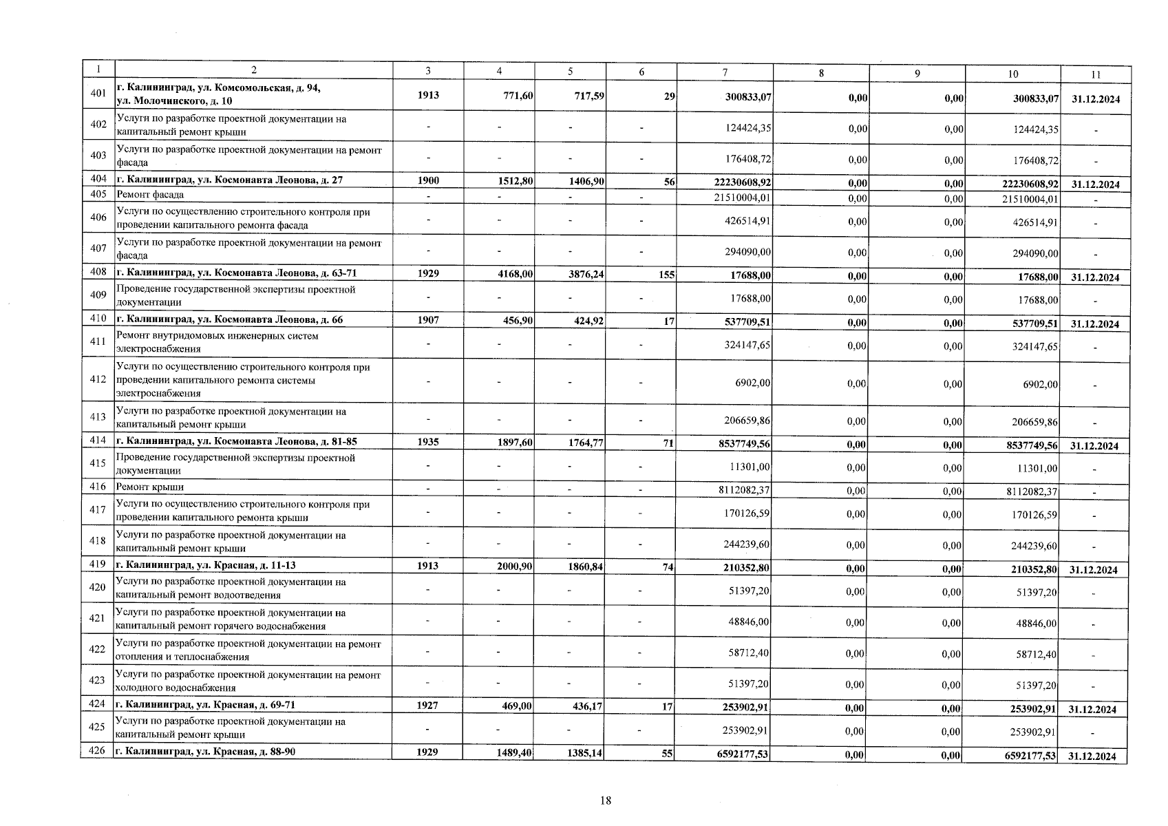
Приказ Министерства строительства и жилищно-коммунального хозяйства Калининградской области от 26.11.2025 № 88
"О внесении изменений в краткосрочный план реализации на 2024 – 2026 годы региональной программы капитального ремонта общего имущества в многоквартирных домах, расположенных на территории Калининградской области"
(Зарегистрирован 27.11.2025 № ГР/837/2025)
Номер опубликования: 3901202511280007
Дата опубликования: 28.11.2025
Страница №20 из 304:
Увеличить