Официальное опубликование правовых актов
ОФИЦИАЛЬНОЕ ОПУБЛИКОВАНИЕ
Приказ Агентства по имуществу Калининградской области от 02.12.2025 № 2121-пр
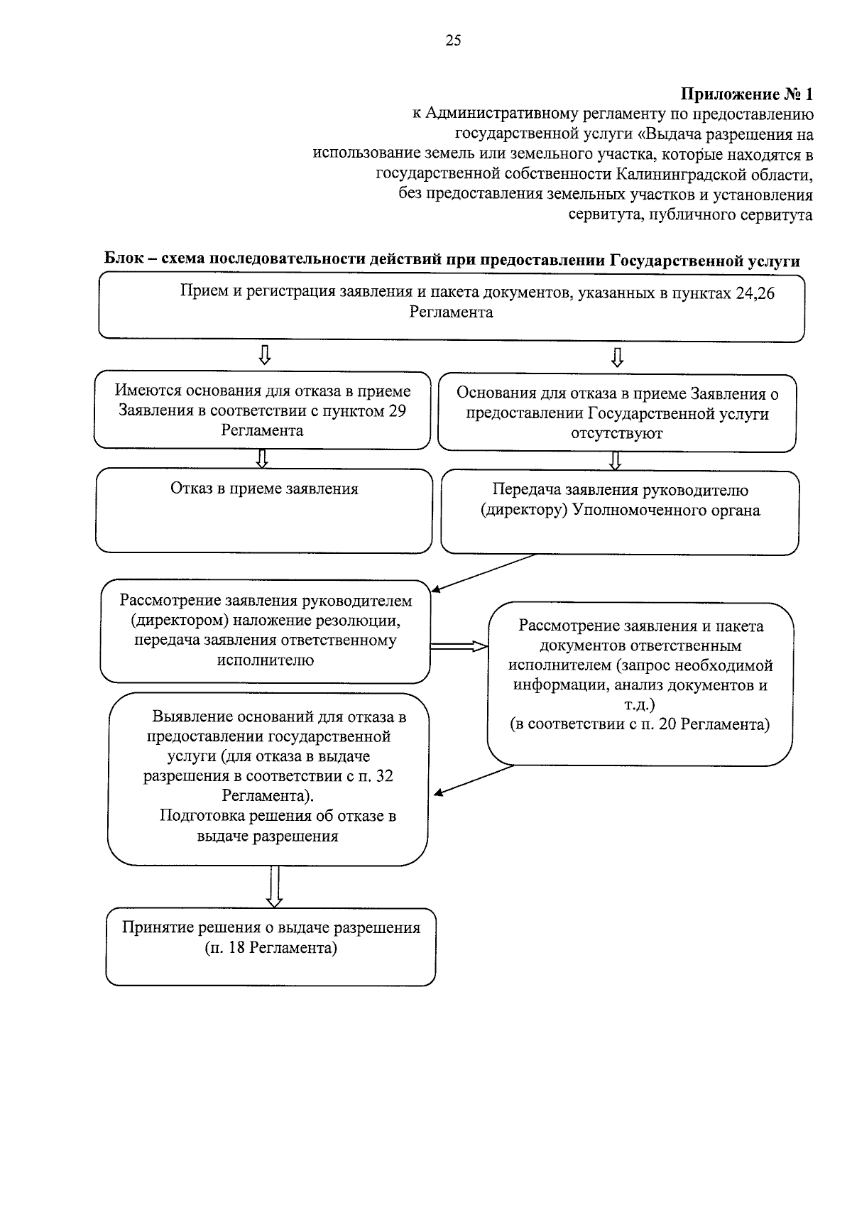
"Об утверждении Административного регламента предоставления Агентством по имуществу Калининградской области Государственной услуги "Выдача разрешения на использование земель или земельного участка, которые находятся в государственной собственности Калининградской области, без предоставления земельных участков и установления сервитута, публичного сервитута"
(Зарегистрирован 03.12.2025 № ГР/854/2025)
Номер опубликования: 3901202512040001
Дата опубликования: 04.12.2025
Страница №26 из 33:
Увеличить