Официальное опубликование правовых актов
ОФИЦИАЛЬНОЕ ОПУБЛИКОВАНИЕ
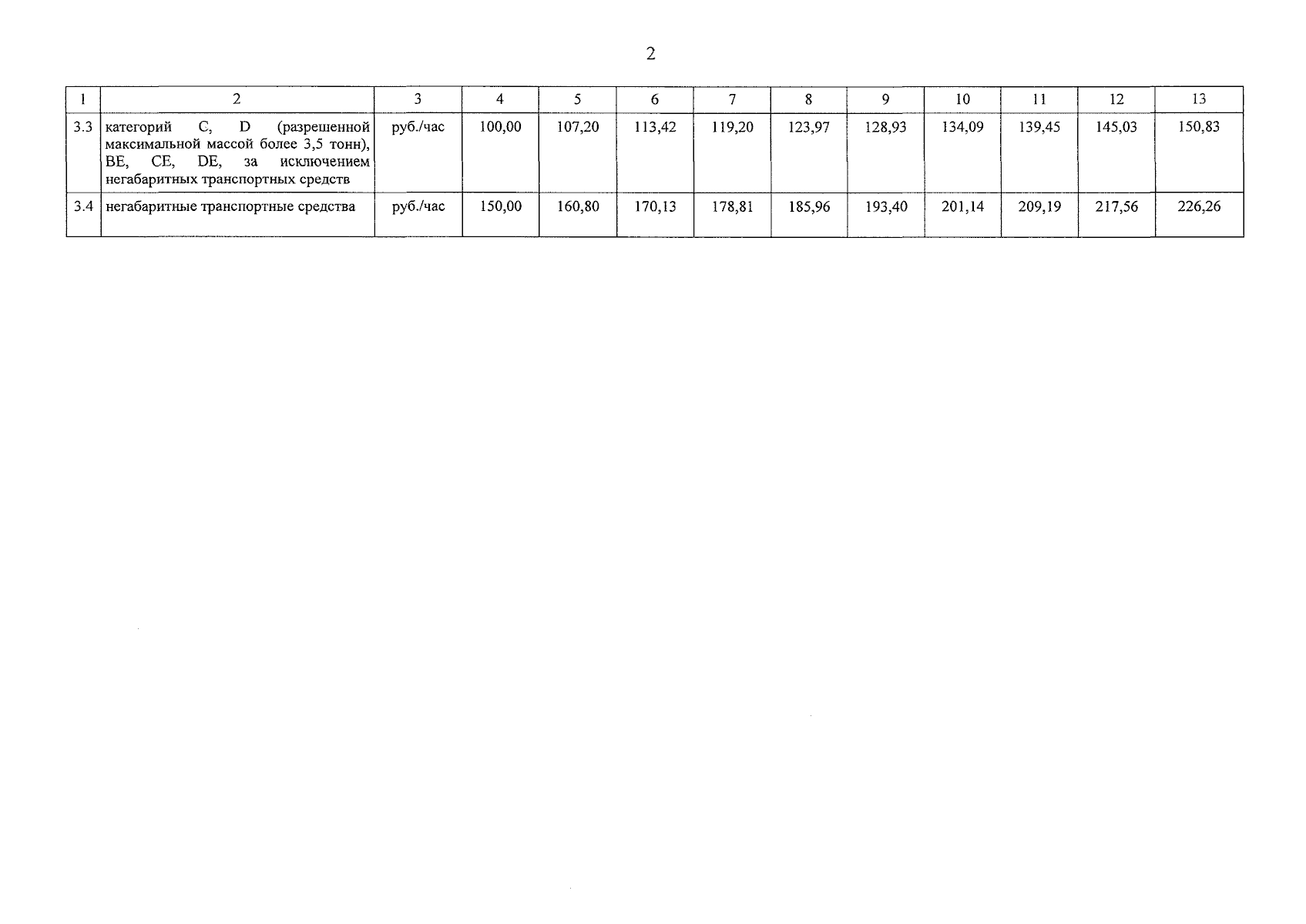
Приказ Службы по государственному регулированию цен и тарифов Калининградской области от 17.12.2025 № 99-03н/25
"О внесении изменений в приказ Службы по государственному регулированию цен и тарифов Калининградской области от 29 декабря 2022 года № 111-03н/22 "Об установлении тарифов на перемещение и хранение задержанных транспортных средств на специализированной стоянке на территориях муниципальных образований "Советский городской округ Калининградской области", "Неманский муниципальный округ Калининградской области", "Славский муниципальный округ Калининградской области", "Краснознаменский муниципальный округ Калининградской области" на 2023-2032 годы"
(Зарегистрирован 19.12.2025 № ГР/958/2025)
Номер опубликования: 3901202512230010
Дата опубликования: 23.12.2025
Страница №4 из 4:
Увеличить