Официальное опубликование правовых актов
ОФИЦИАЛЬНОЕ ОПУБЛИКОВАНИЕ
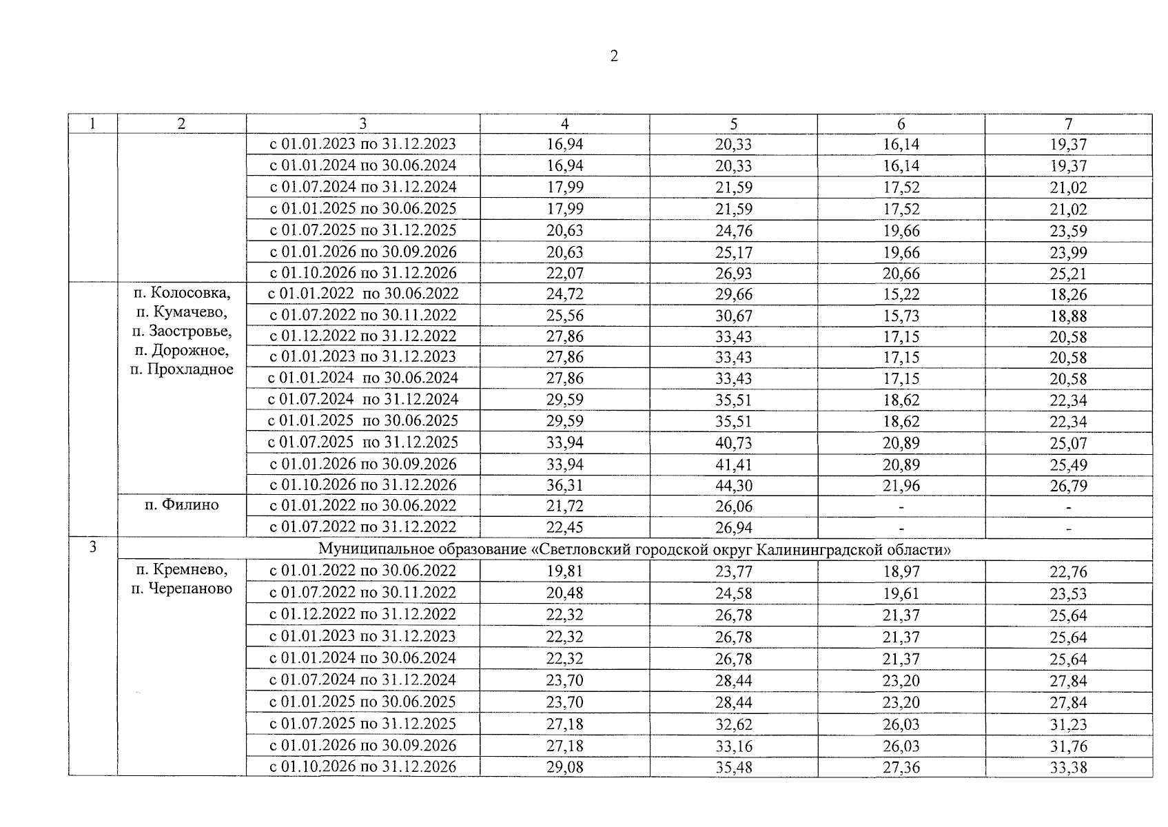
Приказ Службы по государственному регулированию цен и тарифов Калининградской области от 16.12.2025 № 95-28окк/25
"О внесении изменений в приказ Службы по государственному регулированию цен и тарифов Калининградской области от 07 декабря 2021 года № 66-10окк/21 "Об установлении тарифов, утверждении производственной программы и установлении долгосрочных параметров регулирования в сфере водоснабжения и водоотведения организации водопроводно-канализационного хозяйства ФГБУ "ЦЖКУ" Минобороны России, филиал ФГБУ "ЦЖКУ" Минобороны России (по ВМФ) на 2022-2026 годы"
(Зарегистрирован 19.12.2025 № ГР/947/2025)
Номер опубликования: 3901202512230021
Дата опубликования: 23.12.2025
Страница №4 из 11:
Увеличить