Официальное опубликование правовых актов
ОФИЦИАЛЬНОЕ ОПУБЛИКОВАНИЕ
Приказ Министерства экономического развития, промышленности и торговли Калининградской области от 27.03.2026 № 34
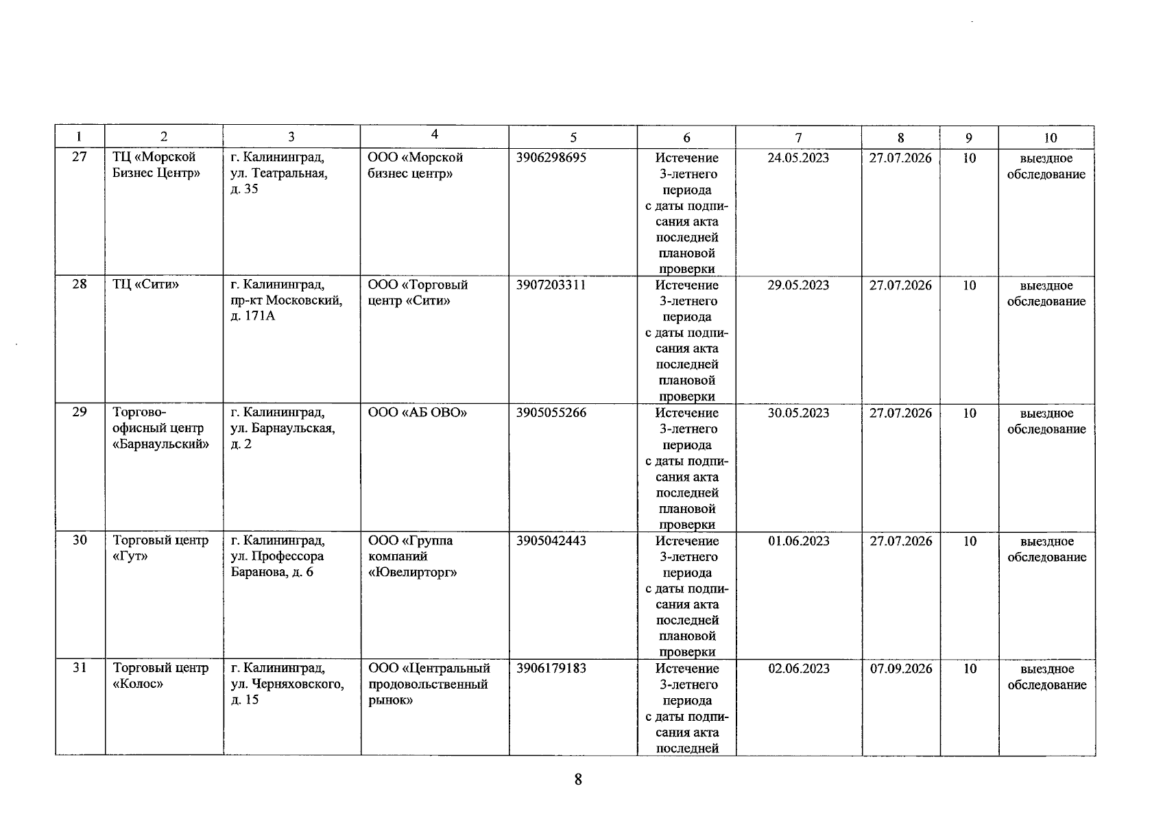
"Об утверждении плана проведения проверок обеспечения антитеррористической защищенности торговых объектов (территорий) и выполнения требований, утвержденных постановлением Правительства Российской Федерации от 19 октября 2017 года № 1273 "Об утверждении требований к антитеррористической защищенности торговых объектов (территорий) и формы паспорта безопасности торгового объекта (территории)", на 2026 год"
(Зарегистрирован 31.03.2026 № ГР/228/2026)
Номер опубликования: 3901202603310022
Дата опубликования: 31.03.2026
Страница №10 из 22:
Увеличить