Официальное опубликование правовых актов
ОФИЦИАЛЬНОЕ ОПУБЛИКОВАНИЕ
Постановление Правительства Калужской области от 10.03.2015 № 123
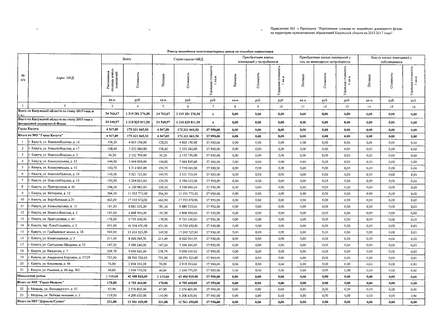
"О внесении изменений в постановление Правительства Калужской области от 29.04.2013 № 231 "Об областной адресной программе по переселению граждан из аварийного жилищного фонда, в том числе с учетом необходимости развития малоэтажного жилищного строительства на территории муниципальных образований Калужской области на 2013-2017 годы" (в ред. постановлений Правительства Калужской области от 29.11.2013 № 646, от 05.03.2014 № 151, от 15.08.2014 № 482)"
Номер опубликования: 4000201503110002
Дата опубликования: 11.03.2015
Страница №67 из 79:
Увеличить