Официальное опубликование правовых актов
ОФИЦИАЛЬНОЕ ОПУБЛИКОВАНИЕ
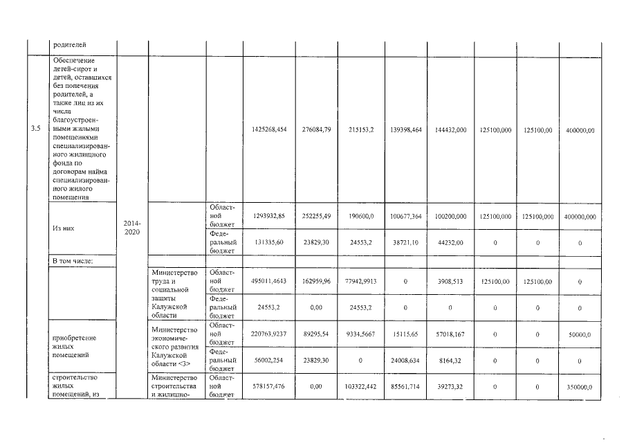
Постановление Правительства Калужской области от 27.07.2017 № 432
"О внесении изменений в постановление Правительства Калужской области от 29.11.2013 № 647 "Об утверждении государственной программы Калужской области "Семья и дети Калужской области" (в ред. постановлений Правительства Калужской области от 24.06.2014 № 369, от 21.07.2014 № 423, от 08.09.2014 № 528, от 28.11.2014 № 697, от 24.12.2014 № 778, от 10.04.2015 № 185, от 03.03.2016 № 142, от 12.08.2016 № 439, от 20.03.2017 № 136)"
Номер опубликования: 4000201708010010
Дата опубликования: 01.08.2017
Страница №45 из 48:
Увеличить