Официальное опубликование правовых актов
ОФИЦИАЛЬНОЕ ОПУБЛИКОВАНИЕ
Постановление Правительства Калужской области от 18.08.2017 № 466
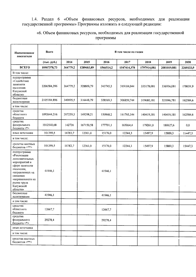
"О внесении изменений в постановление Правительства Калужской области от 20.12.2013 № 711 "Об утверждении государственной программы Калужской области "Развитие рынка труда в Калужской области" (в ред. постановлений Правительства Калужской области от 31.01.2014 № 58, от 14.02.2014 № 104, от 30.04.2014 № 280, от 28.05.2014 № 318, от 27.06.2014 № 387, от 16.07.2014 № 415, от 09.10.2014 № 587, от 20.03.2015 № 148, от 10.04.2015 № 186, от 03.07.2015 № 359, от 14.07.2015 № 380, от 22.09.2015 № 536, от 05.11.2015 № 620, от 09.12.2015 № 686, от 11.03.2016 № 159, от 23.06.2016 № 349, от 04.08.2016 № 422, от 19.08.2016 № 445, от 13.10.2016 № 550, от 21.10.2016 № 574, от 13.12.2016 № 664, от 29.12.2016 № 716, от 21.04.2017 № 230)"
Номер опубликования: 4000201708240001
Дата опубликования: 24.08.2017
Страница №3 из 18:
Увеличить