Официальное опубликование правовых актов
ОФИЦИАЛЬНОЕ ОПУБЛИКОВАНИЕ
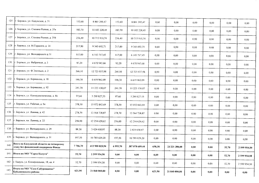
Постановление Правительства Калужской области от 21.06.2018 № 368
"О внесении изменений в постановление Правительства Калужской области от 29.04.2013 № 231 "Об областной адресной программе по переселению граждан из аварийного жилищного фонда на территории муниципальных образований Калужской области на 2013-2018 годы" (в ред. постановлений Правительства Калужской области от 29.11.2013 № 646, от 05.03.2014 № 151, от 15.08.2014 № 482, от 10.03.2015 № 123, от 01.06.2015 № 295, от 20.08.2015 № 470, от 02.10.2015 № 559, от 11.11.2015 № 626, от 21.12.2015 № 724, от 23.03.2016 № 194, от 07.07.2016 № 374, от 20.12.2016 № 676, от 15.02.2017 № 65, от 08.06.2017 № 349, от 14.11.2017 № 658, от 09.02.2018 № 84)"
Номер опубликования: 4000201806260016
Дата опубликования: 26.06.2018
Страница №71 из 77:
Увеличить