Официальное опубликование правовых актов
ОФИЦИАЛЬНОЕ ОПУБЛИКОВАНИЕ
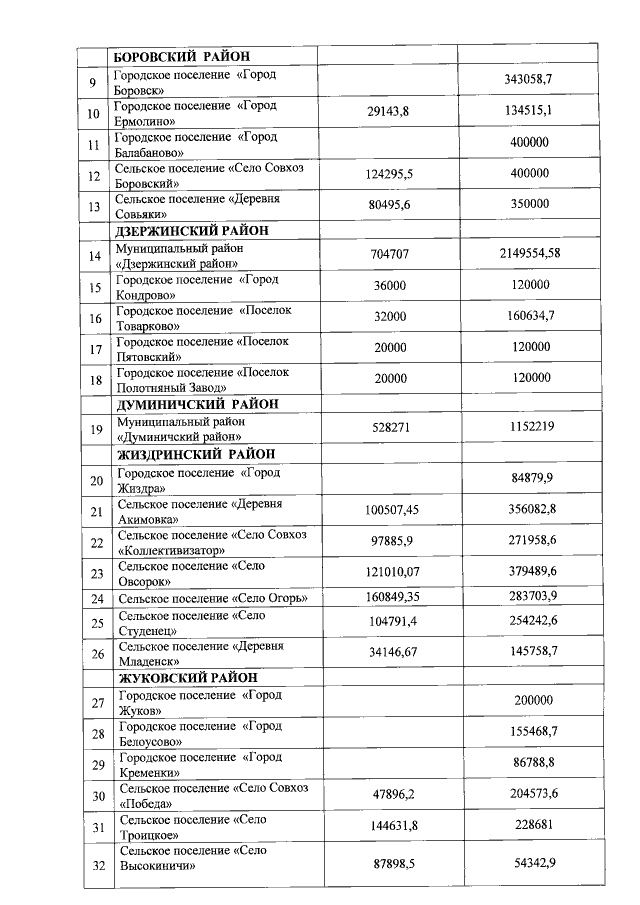
Постановление Правительства Калужской области от 11.07.2018 № 418
"О внесении изменения в постановление Правительства Калужской области от 01.06.2018 № 330 "Об утверждении распределения субсидий местным бюджетам из областного бюджета на реализацию государственной программы Калужской области "Управление имущественным комплексом Калужской области" на 2018 год"
Номер опубликования: 4000201807130005
Дата опубликования: 13.07.2018
Страница №3 из 8:
Увеличить