Официальное опубликование правовых актов
ОФИЦИАЛЬНОЕ ОПУБЛИКОВАНИЕ
Закон Калужской области от 29.11.2018 № 411-ОЗ
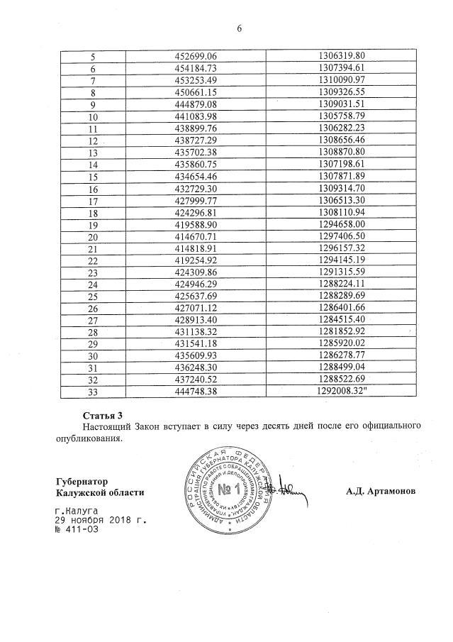
"О внесении изменений в Закон Калужской области "Об установлении границ муниципальных образований, расположенных на территории административно-территориальных единиц "Бабынинский район", "Боровский район", "Дзержинский район", "Жиздринский район", "Жуковский район", "Износковский район", "Козельский район", "Малоярославецкий район", "Мосальский район", "Ферзиковский район", "Хвастовичский район", "Город Калуга", "Город Обнинск", и наделения их статусом городского поселения, сельского поселения, городского округа, муниципального района"
Номер опубликования: 4000201812050017
Дата опубликования: 05.12.2018
Страница №6 из 7:
Увеличить