Официальное опубликование правовых актов
ОФИЦИАЛЬНОЕ ОПУБЛИКОВАНИЕ
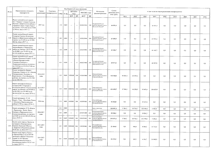
Постановление Правительства Калужской области от 04.12.2018 № 736
"О внесении изменений в постановление Правительства Калужской области от 04.12.2013 № 652 "Об утверждении государственной программы Калужской области "Развитие дорожного хозяйства Калужской области" (в ред. постановлений Правительства Калужской области от 18.12.2013 № 704, от 01.04.2014 № 217, от 14.08.2014 № 477, от 11.12.2014 № 735, от 27.04.2015 № 228, от 01.10.2015 № 552, от 30.11.2015 № 666, от 26.02.2016 № 123, от 31.05.2016 № 314, от 23.06.2016 № 350, от 27.12.2016 № 690, от 10.03.2017 № 104, от 11.05.2017 № 270, от 07.07.2017 № 394, от 06.10.2017 № 565, от 12.12.2017 № 733, от 28.12.2017 № 803, от 21.02.2018 № 111, от 29.03.2018 № 186, от 24.04.2018 № 254, от 11.07.2018 № 417, от 11.09.2018 № 547, от 15.10.2018 № 630)"
Номер опубликования: 4000201812100004
Дата опубликования: 10.12.2018
Страница №19 из 42:
Увеличить